Logo Passei Direto
Buscar
Material
páginas com resultados encontrados.
páginas com resultados encontrados.
left-side-bubbles-backgroundright-side-bubbles-background

Crie sua conta grátis para liberar esse material. 🤩

Já tem uma conta?

Ao continuar, você aceita os Termos de Uso e Política de Privacidade

left-side-bubbles-backgroundright-side-bubbles-background

Crie sua conta grátis para liberar esse material. 🤩

Já tem uma conta?

Ao continuar, você aceita os Termos de Uso e Política de Privacidade

left-side-bubbles-backgroundright-side-bubbles-background

Crie sua conta grátis para liberar esse material. 🤩

Já tem uma conta?

Ao continuar, você aceita os Termos de Uso e Política de Privacidade

left-side-bubbles-backgroundright-side-bubbles-background

Crie sua conta grátis para liberar esse material. 🤩

Já tem uma conta?

Ao continuar, você aceita os Termos de Uso e Política de Privacidade

Prévia do material em texto

Desafio 3
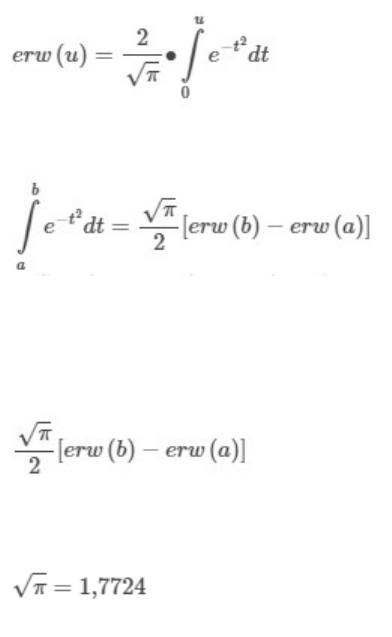
O resultado do TFC é indispensável em modelagem matemática que envolve processos de integração, pois minimiza a quantidade de cálculos e dinamiza a resolução dos problemas de aplicação.
A função do erro erw(u) é muito utilizada em diversas áreas de estudos científicos, como Probabilidade, Estatística e Engenharia, para estimar erros de problemas físicos em métodos de aproximação de raízes.
Sabendo que a função que expressa o erro é dada por:
a) Mostre que:
utilizando a segunda parte do TFC e as propriedades de integral definida.
b) Sabendo que erw(a) = 1/6 e erw(b) = 2/3, calcule o valor da estimativa do erro utilizando a expressão:
Adote:
Anexo conforme desafio proposto.
Respostas:

Mais conteúdos dessa disciplina