Logo Passei Direto
Buscar
Material
páginas com resultados encontrados.
páginas com resultados encontrados.

Prévia do material em texto

ELEMENTOS DE MECÁNICA DEL MEDIO CONTINUO 
Profesor: Dr. Armando Ortiz Prado Semestre: 2017-2 
 M.C. Juan Armando Ortiz Valera 
Serie No 2. Tema: Cinemática del continuo 
Entrega 22/febrero/2017. 
 
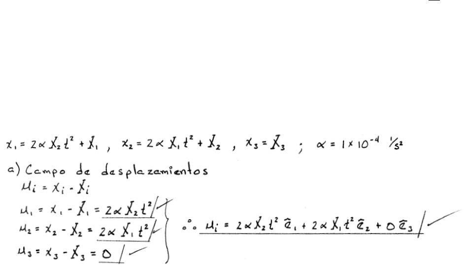
1. El movimiento de un medio continuo se describe como: 
2
1 2 12x X t X  , 
2
2 1 22x X t X  , 33 Xx  , 
4
2
1
1 10
s
   
a. Determine el campo de desplazamientos 
b. Determine la velocidad para 3t s , para el elemento diferencial que en 1t s se encuentra en  2,4,5 . 
c. Determine la aceleración en 5t s para el elemento diferencial que en 1t s se encuentra en  2,35 
d. Determine para el elemento diferencial que originalmente se encuentra en  1,3,5X  , su desplazamiento para 
5t s 
 
Solución: 
 
 
 
 
 
 
 
 
 
 
 
 
 
 
 
 
 
 
 
 
 
 
 
 
 
 
 
 
 
 
 
 
 
 
 
 
 
 
 
 
 
 
 
2. Un medio continuo se mueve según la trayectoria definida por: 
 
2
1 1 22x X X t  
2
2 2 12x X X t  
3 3x X 
 
a. ¿Cuál es el tiempo de referencia? 
b. Verificar la existencia de las funciones inversas y obtenerlas. 
c. Determinar el campo de desplazamientos en función de la base material y espacial. 
d. Determinar el campo de velocidades en base lagrangiana y euleriana. 
e. Determinar la velocidad en 1.5t s para el elemento diferencial que en 1t s se encuentra en (2, 3,-4). 
f. Determinar la aceleración en 1.5t s para el elemento diferencial que en 1t s se encuentra en (2, 3,-4). 
g. Si la temperatura de un medio asociado está determinada por 
 
  10 1 3 [ ] ; 1t X X C C s   
      
determine la razón de cambio en el tiempo de la temperatura en base lagrangiana. 
 
Solución: 
 
 
 
 
 
 
 
 
 
 
 
 
 
 
 
 
 
 
 
 
 
 
 
 
 
 
 
 
 
 
 
 
 
 
 
 
 
 
 
 
 
 
3. Determinar la rapidez de variación de temperatura en un medio continuo si se tiene que la temperatura para éste 
está dada por: 
3
2 2 2
1 2 3
te
x x x



 
 
 
y que el campo de velocidades es el siguiente: 
1 2 32v x x  ; 2 3 1v x x  ; 3 1 23v x x  
 
Solución: 
 
 
 
 
 
 
 
 
 
 
 
 
 
 
 
 
 
 
 
4. Un medio continuo es definido por un cuadrado con lados de magnitud b, sometido a un movimiento de cuerpo 
rígido que está definido al rotar al medio en dirección contraria a las manecillas del reloj un ángulo de 30° en el 
origen. Encuentre las ecuaciones que describen el movimiento así como la nueva posición de la partícula D. Para 
lo anterior considere que el movimiento está descrito por una ecuación del tipo x QX c  . 
 
 
Solución:

Mais conteúdos dessa disciplina