Logo Passei Direto
Buscar

GABARITO - CALCULO DIFERENCIAL E INTEGRAL 2 (3 SEMESTRE)

Ferramentas de estudo

Questões resolvidas

O cálculo das integrais duplas requer que seja identificado corretamente a região de integração e os respectivos limites de integração.
Com base em informações sobre o cálculo de integrais duplas, calcule a integral da função f(x,y) = 1 sobre a região R. Em que R=[1,3]x[2,4]. Assinale a alternativa que contém o resultado dessa integral.
A) 0
B) 2
C) 3
D) 4
E) 1

As integrais de funções de uma variável nem sempre podem ser resolvidas de forma imediata, assim faz-se necessário o uso de técnicas que facilite o processo de integração.
Com base nessas técnicas de integração classifique os itens que seguem em verdadeiros (V) ou falsos (F).
( ) Para o cálculo da integral indefinida da função pelo método de mudança de variável devemos considerar a função auxiliar
( ) Para o cálculo da integral indefinida da função pelo método de mudança de variável devemos considerar a função auxiliar
( ) Para o cálculo da integral indefinida da função pelo método de mudança de variável devemos considerar a função auxiliar
A) V-F-F
B) V-F-V
C) F-F-V
D) F-V-F
E) V-V-F

Se temos um problema em que é definido uma função de duas variáveis reais e a região de integração podemos calcular a integral dupla correspondente. Considere a função f(x,y) = 4xy e a região retangular R = [0,1]x[1,2].
Assinale a alternativa que contém o resultado da integral dupla da função f(x,y) sobre a região R.
A) 5.
B) 2.
C) 3.
D) 4.
E) 1.

Uma das aplicações das integrais duplas é no cálculo da massa de determinados objetos. Considere uma placa fina com formato retangular, onde 0≤ x≤ 3 e 0≤ y≤ 2, cuja, densidade é dada pela função f(x,y) = x2y2.
Assinale a alternativa que contém a massa dessa placa.
A) 24.
B) 36.
C) 48.
D) 4.
E) 81.

O custo marginal da produção de doces de uma pequena empresa é dado pela função C’(x) = 10. Sabe-se que se a empresa não produzir nenhum doce tem um custo de R$10,00.
Com base nessas informações, assinale a alternativa que contém o custo aproximado de se produzir 10 doces.
A) R$10,00.
B) R$ 20,00.
C) R$110,00.
D) R$ 90,00.
E) R$ 40,00.

Material
páginas com resultados encontrados.
páginas com resultados encontrados.
left-side-bubbles-backgroundright-side-bubbles-background

Crie sua conta grátis para liberar esse material. 🤩

Já tem uma conta?

Ao continuar, você aceita os Termos de Uso e Política de Privacidade

left-side-bubbles-backgroundright-side-bubbles-background

Crie sua conta grátis para liberar esse material. 🤩

Já tem uma conta?

Ao continuar, você aceita os Termos de Uso e Política de Privacidade

left-side-bubbles-backgroundright-side-bubbles-background

Crie sua conta grátis para liberar esse material. 🤩

Já tem uma conta?

Ao continuar, você aceita os Termos de Uso e Política de Privacidade

left-side-bubbles-backgroundright-side-bubbles-background

Crie sua conta grátis para liberar esse material. 🤩

Já tem uma conta?

Ao continuar, você aceita os Termos de Uso e Política de Privacidade

left-side-bubbles-backgroundright-side-bubbles-background

Crie sua conta grátis para liberar esse material. 🤩

Já tem uma conta?

Ao continuar, você aceita os Termos de Uso e Política de Privacidade

Questões resolvidas

O cálculo das integrais duplas requer que seja identificado corretamente a região de integração e os respectivos limites de integração.
Com base em informações sobre o cálculo de integrais duplas, calcule a integral da função f(x,y) = 1 sobre a região R. Em que R=[1,3]x[2,4]. Assinale a alternativa que contém o resultado dessa integral.
A) 0
B) 2
C) 3
D) 4
E) 1

As integrais de funções de uma variável nem sempre podem ser resolvidas de forma imediata, assim faz-se necessário o uso de técnicas que facilite o processo de integração.
Com base nessas técnicas de integração classifique os itens que seguem em verdadeiros (V) ou falsos (F).
( ) Para o cálculo da integral indefinida da função pelo método de mudança de variável devemos considerar a função auxiliar
( ) Para o cálculo da integral indefinida da função pelo método de mudança de variável devemos considerar a função auxiliar
( ) Para o cálculo da integral indefinida da função pelo método de mudança de variável devemos considerar a função auxiliar
A) V-F-F
B) V-F-V
C) F-F-V
D) F-V-F
E) V-V-F

Se temos um problema em que é definido uma função de duas variáveis reais e a região de integração podemos calcular a integral dupla correspondente. Considere a função f(x,y) = 4xy e a região retangular R = [0,1]x[1,2].
Assinale a alternativa que contém o resultado da integral dupla da função f(x,y) sobre a região R.
A) 5.
B) 2.
C) 3.
D) 4.
E) 1.

Uma das aplicações das integrais duplas é no cálculo da massa de determinados objetos. Considere uma placa fina com formato retangular, onde 0≤ x≤ 3 e 0≤ y≤ 2, cuja, densidade é dada pela função f(x,y) = x2y2.
Assinale a alternativa que contém a massa dessa placa.
A) 24.
B) 36.
C) 48.
D) 4.
E) 81.

O custo marginal da produção de doces de uma pequena empresa é dado pela função C’(x) = 10. Sabe-se que se a empresa não produzir nenhum doce tem um custo de R$10,00.
Com base nessas informações, assinale a alternativa que contém o custo aproximado de se produzir 10 doces.
A) R$10,00.
B) R$ 20,00.
C) R$110,00.
D) R$ 90,00.
E) R$ 40,00.

Prévia do material em texto

GABARITO (CÁLCULO DIFERENCIAL E INTEGRAL II) - 3º SEMESTRE 
 
Questão 1 
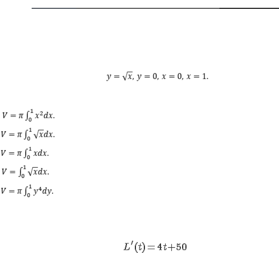
Um sólido gerado pela rotação de uma região plana em torno de um eixo no plano é denominado sólido de 
revolução. Para calcular o volume desse sólido utilizamos as integrais definidas, assim é fundamental 
identificar a função a ser integrada e o limite de integração. Assim, deseja-se calcular o volume do sólido 
formado pela rotação em torno do eixo x da região delimitada pelas curvas 
 
Assinale a alternativa que indica corretamente a integral que deve ser empregada para o cálculo do volume 
do sólido em questão. 
A) 
B) 
C) 
D) 
E) 
 
Questão 2 
A variação do lucro de uma empresa é dada pela função 
 
Em que t é a dado em anos e L(t) em milhões de reais. Essa empresa passou por mudança na fabricação 
de algumas peças que gerou imediatamente um lucro de 2 milhões de reais. Com base nessas informações, 
assinale a alternativa que contém o lucro da empresa, em milhões, daqui a 5 anos. 
A) 205 
B) 100 
C) 70 
D) 302 
E) 150 
 
Questão 3 
O cálculo das integrais duplas requer que seja identificado corretamente a região de integração e os 
respectivos limites de integração. Com base em informações sobre o cálculo de integrais duplas, calcule a 
integral da função f(x,y) = 1 sobre a região R. Em que R=[1,3]x[2,4]. Assinale a alternativa que contém o 
resultado dessa integral. 
A) 0 
B) 2 
C) 3 
D) 4 
E) 1 
 
https://www.colaboraread.com.br/aluno/boletim/index/3345901703#2644402
 
Questão 4 
As integrais de funções de uma variável nem sempre podem ser resolvidas de forma imediata, assim faz-
se necessário o uso de técnicas que facilite o processo de integração. Com base nessas técnicas de 
integração classifique os itens que seguem em verdadeiros (V) ou falsos (F). 
( ) Para o cálculo da integral indefinida da função 
 
 pelo método de mudança de variável devemos considerar a função auxiliar 
 
( ) Para o cálculo da integral indefinida da função 
 
pelo método de mudança de variável devemos considerar a função auxiliar 
 
 ( ) Para o cálculo da integral indefinida da função 
 
pelo método de mudança de variável devemos considerar a função auxiliar 
 
 Assinale a alterativa que contém a sequência correta. 
A) V-F-F 
B) V-F-V 
C) F-F-V 
D) F-V-F 
E) V-V-F 
 
Questão 5 
Se temos um problema em que é definido uma função de duas variáveis reais e a região de integração 
podemos calcular a integral dupla correspondente. Considere a função f(x,y) = 4xy e a região retangular R 
= [0,1]x[1,2]. Assinale a alternativa que contém o resultado da integral dupla da função f(x,y) sobre a região 
R. 
A) 4 
B) 1 
C) 3 
D) 2 
E) 5 
 
 
 
Questão 6 
A integração por mudança de variável é uma técnica que pode ser aplicada na resolução de problemas que 
envolvem integrais de funções de uma variável quando existir a possibilidade de associar o integrando a 
uma primitiva simples e sua derivada direta. Com base em informações analise os itens que seguem. 
I- Para o cálculo da integral indefinida da função 
 
pelo método de mudança de variável devemos considerar a função auxiliar 
 
II- Para o cálculo da integral indefinida da função 
 
pelo método de mudança de variável devemos considerar a função auxiliar 
 
III- Para o cálculo da integral indefinida da função 
 
pelo método de mudança de variável devemos considerar a função auxiliar 
 
Assinale a alternativa correta. 
A) Apenas os itens I e III estão corretos. 
B) Apenas o item III está correto. 
C) Apenas o item I está correto. 
D) Apenas os itens II e III estão corretos. 
E) Apenas o item II está correto. 
 
Questão 7 
Um engenheiro é responsável por fazer o orçamento de quanto de material será gasto na construção de 
um prédio. Sua tarefa mais recente é calcular a quantidade de metros quadrados de ladrilhos necessário 
para revestir uma parede da sala de recreação. Considere que a região da parede é delimitada pelas 
curvas 
 
Assinale a alternativa que contém quantidade aproximada de metros quadrados de ladrilhos necessários 
para revestir essa parede. 
A) 3 m². 
B) 2 m². 
C) 4 m². 
D) 6 m². 
E) 5 m². 
 
 
Questão 8 
O estudo das integrais definidas pode auxiliar a resolver problemas em diversos ramos, como na economia, 
física entre outras áreas. Problemas que envolvem áreas sob curvas podem ser resolvido utilizando as 
integrais definidas. 
Considere que uma peça metálica seja limitada pelas retas 
 
e pelo gráfico da função 
 
Assinale a alternativa que contém a área da superfície dessa peça metálica. 
A) 2 u.a. 
B) 0 u.a. 
C) 4 u.a. 
D) 3 u.a. 
E) 1 u.a. 
 
Questão 9 
Sabe-se que a variação do custo de um determinado produto em relação quantidade é dada pela função 
 
Em que x é a quantidade produzida e C(x) o custo em reais. Considerando que caso não seja produzido 
nenhuma unidade o custo é de R$11,00, assinale a alternativa que contém o custo aproximado para se 
produzir 4 unidades desse produto. 
A) R$ 300,00. 
B) R$ 200,60. 
C) R$ 104,60. 
D) R$ 64,60. 
E) R$ 44,00. 
 
Questão 10 
Além de auxiliar no cálculo de área de regiões sob curvas, as integrais de funções de uma variável real 
podem ser aplicadas para o cálculo de volume de sólidos de rotação. Assim faz-se necessário a identificação 
da função a ser integrada e da região de integração. Logo deseja-se determinar o volume da região R 
delimitada pela curva 
 
 quando rotacionada em torno do eixo X. 
Assinale a alternativa que indica corretamente a integral que deve ser empregada para o cálculo do volume 
do sólido em questão. 
 
A) 
B) 
C) 
D) 
E) 
 
Questão 11 
Uma das aplicações das integrais duplas é no cálculo da massa de determinados objetos. Considere uma 
placa fina com formato retangular, onde 0≤ x≤ 3 e 0≤ y≤ 2, cuja, densidade é dada pela função f(x,y) = x2y2. 
Assinale a alternativa que contém a massa dessa placa. 
A) 24. 
B) 36. 
C) 48. 
D) 4. 
E) 81. 
 
Questão 12 
O custo marginal da produção de doces de uma pequena empresa é dado pela função 
C’(x) = 10 
Sabe-se que se a empresa não produzir nenhum doce tem um custo de R$10,00. Com base nessas 
informações, assinale a alternativa que contém o custo aproximado de se produzir 10 doces. 
A) R$10,00. 
B) R$ 20,00. 
C) R$110,00. 
D) R$ 90,00. 
E) R$ 40,00.

Mais conteúdos dessa disciplina