Logo Passei Direto
Buscar

Questões 1 Transformadas - tempo continuo e discreto

Ferramentas de estudo

Questões resolvidas

Questão 3/10 - Transformadas: Tempo Contínuo e Discreto
Com respeito às Séries de Fourier, analise as seguintes afirmacoes:
I. As Séries de Fourier representam um sinal periódico em uma soma infinita de
componentes senoidais;
II. Para indicarmos que uma função é periódica e se repete em um período fundamental
P escrevemos ;
III. Além do período, temos a frequência fundamental que pode ser obtida
por
Quais afirmativas são verdadeiras?
A I e II
B I e III
C II e III
D
Todas as alternativas
Você assinalou essa alternativa (D)


A I e II
B I e III
C II e III
D Todas as alternativas

Material
páginas com resultados encontrados.
páginas com resultados encontrados.
left-side-bubbles-backgroundright-side-bubbles-background

Crie sua conta grátis para liberar esse material. 🤩

Já tem uma conta?

Ao continuar, você aceita os Termos de Uso e Política de Privacidade

left-side-bubbles-backgroundright-side-bubbles-background

Crie sua conta grátis para liberar esse material. 🤩

Já tem uma conta?

Ao continuar, você aceita os Termos de Uso e Política de Privacidade

left-side-bubbles-backgroundright-side-bubbles-background

Crie sua conta grátis para liberar esse material. 🤩

Já tem uma conta?

Ao continuar, você aceita os Termos de Uso e Política de Privacidade

left-side-bubbles-backgroundright-side-bubbles-background

Crie sua conta grátis para liberar esse material. 🤩

Já tem uma conta?

Ao continuar, você aceita os Termos de Uso e Política de Privacidade

left-side-bubbles-backgroundright-side-bubbles-background

Crie sua conta grátis para liberar esse material. 🤩

Já tem uma conta?

Ao continuar, você aceita os Termos de Uso e Política de Privacidade

Questões resolvidas

Questão 3/10 - Transformadas: Tempo Contínuo e Discreto
Com respeito às Séries de Fourier, analise as seguintes afirmacoes:
I. As Séries de Fourier representam um sinal periódico em uma soma infinita de
componentes senoidais;
II. Para indicarmos que uma função é periódica e se repete em um período fundamental
P escrevemos ;
III. Além do período, temos a frequência fundamental que pode ser obtida
por
Quais afirmativas são verdadeiras?
A I e II
B I e III
C II e III
D
Todas as alternativas
Você assinalou essa alternativa (D)


A I e II
B I e III
C II e III
D Todas as alternativas

Prévia do material em texto

Questão 1/10 - Transformadas: Tempo Contínuo e Discreto
Para qual valor converge a série
	
	A
	2/9
	
	B
	3/8
	
	C
	43/77
Você assinalou essa alternativa (C)
	
	D
	43/72
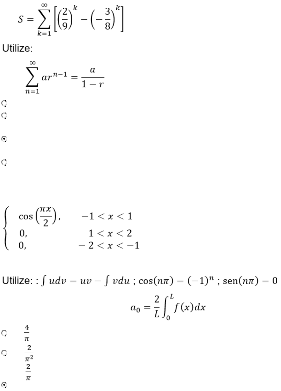
Questão 2/10 - Transformadas: Tempo Contínuo e Discreto
Encontre o coeficiente a0
da Série de Fourier da função retificada de meia onda, dada por
Observe que seu período fundamental é P=4 e que a função é par.
	
	A
	
	
	B
	
	
	C
	
Você assinalou essa alternativa (C)
	
	D
	
Questão 3/10 - Transformadas: Tempo Contínuo e Discreto
Com respeito às Séries de Fourier, analise as seguintes afirmações:
I. As Séries de Fourier representam um sinal periódico em uma soma infinita de componentes senoidais;
II. Para indicarmos que uma função é periódica e se repete em um período fundamental P escrevemos ;
III. Além do período, temos a frequência fundamental que pode ser obtida por 
Quais afirmativas são verdadeiras?
	
	A
	I e II
	
	B
	I e III
	
	C
	II e III
	
	D
	Todas as alternativas
Você assinalou essa alternativa (D)
Questão 4/10 - Transformadas: Tempo Contínuo e Discreto
Obtenha a Série de Fourier da função  
	
	A
	
	
	B
	
Você assinalou essa alternativa (B)
	
	C
	
	
	D
	
Questão 5/10 - Transformadas: Tempo Contínuo e Discreto
Encontre a Série de Maclaurin que representa a função 
Você não pontuou essa questão
	
	A
	
	
	B
	
	
	C
	
	
	D
	
Você assinalou essa alternativa (D)
Questão 6/10 - Transformadas: Tempo Contínuo e Discreto
Qual o raio de convergência da série
	
	A
	3
	
	B
	1/3
Você assinalou essa alternativa (B)
	
	C
	3/2
	
	D
	1/2
Questão 7/10 - Transformadas: Tempo Contínuo e Discreto
Calcule a integral por partes da integral dada por
 
Utilize:
	
	A
	
	
	B
	
Você assinalou essa alternativa (B)
	
	C
	
	
	D
	
Questão 8/10 - Transformadas: Tempo Contínuo e Discreto
Com respeito à paridade das funções, analise as afirmações abaixo:
	
	A
	I e II
	
	B
	I e III
	
	C
	II e III
	
	D
	Todas as alternativas
Você assinalou essa alternativa (D)
Questão 9/10 - Transformadas: Tempo Contínuo e Discreto
Sobre a forma tabular da integral por partes, analise as afirmações abaixo:
I. O acróstico LIATE pode ser utilizado.
II. A coluna de u deve ser derivada até obtermos um valor nulo.
III. A coluna de dv deve ser integrada até obtermos um valor nulo.
Quais afirmativas são verdadeiras?
	
	A
	I e II
Você assinalou essa alternativa (A)
	
	B
	I e III
	
	C
	II e III
	
	D
	Todas as alternativas
Questão 10/10 - Transformadas: Tempo Contínuo e Discreto
Obtenha o coeficiente bn
da Série de Fourier da função Onda Quadrada descrita abaixo:
	
	A
	
Você assinalou essa alternativa (A)
	
	B
	
	
	C
	
	
	D

Mais conteúdos dessa disciplina