Logo Passei Direto
Buscar
Material
páginas com resultados encontrados.
páginas com resultados encontrados.
left-side-bubbles-backgroundright-side-bubbles-background

Experimente o Premium!star struck emoji

Acesse conteúdos dessa e de diversas outras disciplinas.

Libere conteúdos
sem pagar

Ajude estudantes e ganhe conteúdos liberados!

left-side-bubbles-backgroundright-side-bubbles-background

Experimente o Premium!star struck emoji

Acesse conteúdos dessa e de diversas outras disciplinas.

Libere conteúdos
sem pagar

Ajude estudantes e ganhe conteúdos liberados!

left-side-bubbles-backgroundright-side-bubbles-background

Experimente o Premium!star struck emoji

Acesse conteúdos dessa e de diversas outras disciplinas.

Libere conteúdos
sem pagar

Ajude estudantes e ganhe conteúdos liberados!

left-side-bubbles-backgroundright-side-bubbles-background

Experimente o Premium!star struck emoji

Acesse conteúdos dessa e de diversas outras disciplinas.

Libere conteúdos
sem pagar

Ajude estudantes e ganhe conteúdos liberados!

Prévia do material em texto

1 
 
UNIVERSIDADE FEDERAL FLUMINENSE 
INSTITUTO DE QUÍMICA 
 DEPARTAMENTO DE QUÍMICA ORGÂNICA 
DOCENTE: RODOLFO GOETZE FIOROT 
DISCENTE: LAÍS MARQUES PIMENTA 
 
PRÉ-RELATÓRIO 2: SÍNTESE DE P-NITROACETANILIDA 
 
1. Experimento 
 
Síntese da P-Nitroacetanilida 
 
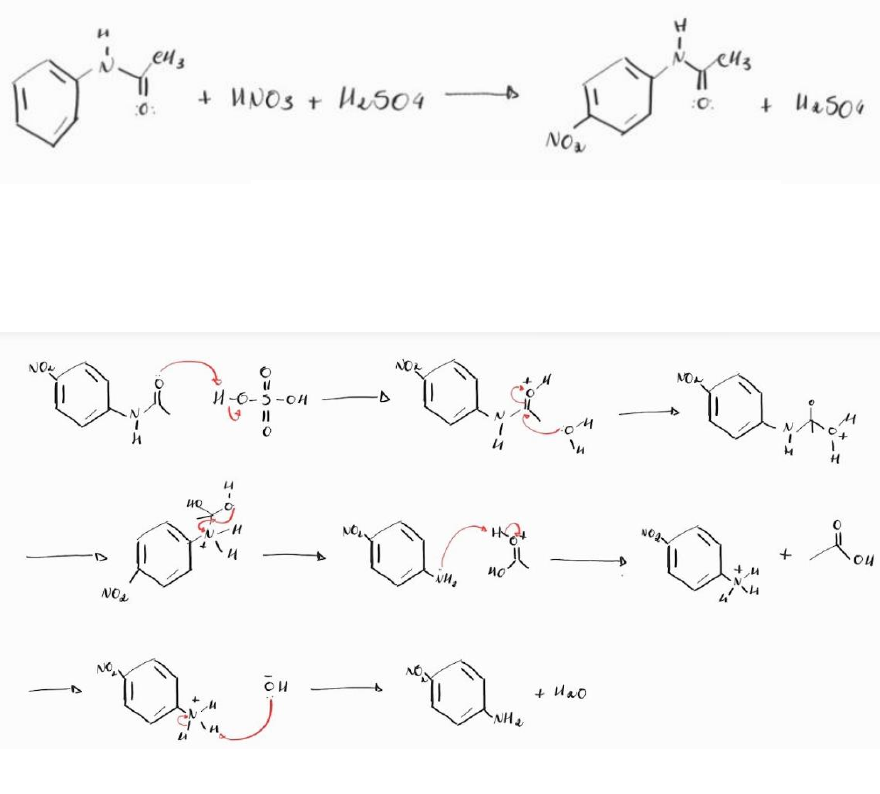
2. Reação 
 
 Figura 1. Reação da síntese da p-nitroacetanilida, a partir da acetanilida. 
 
3. Mecanismo de reação 
 
 Figura 2. Mecanismo de reação da p-nitroacetanilida. 
Fonte: Adaptação de RAGASSI et al, 2016. 
Fonte: Adaptação de RAGASSI et al, 2016. 
2 
 
4. Constantes Físicas dos Reagentes e Produtos 
 
 Tabela 1. Dados físico-químicos dos reagentes e produtos 
 
 
Ponto de Fusão(ºC) 
 
 
Ponto de Ebulição(ºC) 
 
Densidade (g/mL) 
 
 
P-nitroacetanilida 
 
215 
 
Não encontrado 
 
1,39 
 
Acetanilida 
 
113-115 
 
304 
 
1,219 
 
Ácido Sulfúrico 
 
10,31 
 
335 
 
1,84 
 
Ácido Nítrico 
 
-41 
 
122 
 
1.41 
Ácido acético 
 
16.64 116-118 1.051 
Fonte: Merck Millipore 
 
5. Cálculos de massas e volumes utilizados 
 
 
 
6. Toxidez dos reagentes e produtos 
 
- P-nitroacetanilina: Provoca irritação ocular grave e cutânea; irritação nas vias 
respiratórias se inalado. 
3 
 
- Acetanilida: Toxicidade aguda (categoria 4); nocivo se ingerido; pode causar lesões em 
contato com a pele; 
- Ácido Sulfúrico: Provoca queimaduras na pele e lesões oculares graves 
- Ácido nítrico: Pode causar lesões cutâneas; tóxico por inalação; lesões oculares graves; 
 
7. Reação do teste de confirmação 
 
 Figura 3. Reação de confirmação para p-nitroacetanilida 
 
 Mormente, foram adicionados 2 mL de uma solução aquosa 5% de sulfato de ferroso 
amoniacal, em seguida foi adicionada 1 gota da solução aquosa 10% de ácido sulfúrico e 1 
mL da solução de hidróxido de potássio 10% no tubo, seguiu para agitação e será observado 
uma cor castanho-avermelhado, indicando a presença do grupo nitro. 
 
Bibliografia 
 
Dados Físicos-Químicos da P-nitroacetanilida. Disponível em 
https://www.merckmillipore.com/BR/pt/product/4-Nitroacetanilide,MDA_CHEM-820880 
[ acesso em 20 de setembro de 2023]. 
 
Dados físico-químicos da acetanilida- Merck Millipore. Disponível em: 
https://www.merckmillipore.com/BR/pt/product/Acetanilide,MDA_CHEM-822344 
[acesso em 20 de setembro de 2023] 
 
Dados físico-químicos do ácido nítrico. Disponível em: 
https://www.merckmillipore.com/BR/pt/product/Nitric-acid-690-0,MDA_CHEM-101832 
Fonte: Imagem autoral 
https://www.merckmillipore.com/BR/pt/product/4-Nitroacetanilide,MDA_CHEM-820880
https://www.merckmillipore.com/BR/pt/product/Acetanilide,MDA_CHEM-822344
https://www.merckmillipore.com/BR/pt/product/Nitric-acid-690-0,MDA_CHEM-101832
4 
 
[acesso em 20 de setembro de 2023] 
 
Dados físico-químicos do ácido sulfúrico. Disponível em: 
https://www.merckmillipore.com/BR/pt/product/Sulfuric-acid-95-970-0,MDA_CHEM-
100732 [ acesso em 20 de setembro de 2023] 
 
Dados físicos-quimicos do ácido acético- Merck Millipore. Disponível em: 
https://www.merckmillipore.com/BR/pt/product/Acetic-acid-glacial-1000-
0,MDA_CHEM-100063[ acesso em 20 de setembro de 2023] 
 
FICHA DE INFORMAÇÃO DE SEGURANÇA DE PRODUTO QUÍMICO- Acetanilida. 
Disponível em: file:///C:/Users/Windows/Downloads/822344_SDS_BR_Z9.PDF [ acesso 
em 20 de setembro de 2023] 
 
RAGASSI, Marcelo Victor. Redução e acetilação de nitroaromáticos como proposta de 
reações na água vermelha (Red water). 2016. 49 f. Trabalho de Conclusão de Curso 
(Graduação) - Universidade Tecnológica Federal do Paraná, Pato Branco, 2016. 
 
 
https://www.merckmillipore.com/BR/pt/product/Sulfuric-acid-95-970-0,MDA_CHEM-100732
https://www.merckmillipore.com/BR/pt/product/Sulfuric-acid-95-970-0,MDA_CHEM-100732
file:///C:/Users/Windows/Downloads/822344_SDS_BR_Z9.PDF

Mais conteúdos dessa disciplina