Logo Passei Direto
Buscar

av1 calculo II engenharia ambiental EXISTE UMA ALTERNATIVA ERRADA

Ferramentas de estudo

Questões resolvidas

Um dos grandes avanços da geometria clássica foi a obtenção de fórmulas para determinar a área e o volume de triângulos, esferas e cones. Contudo há um método para calcular áreas e volumes das formas mais gerais. Esse método, chamado integração, é uma ferramenta para calcular muito mais do que áreas e volumes. A integral é de fundamental importância em estatística, ciências e engenharia. Ela nos permite calcular quantidades que vão desde probabilidades e médias até consumo de energia e forças que atuam contra as comportas de uma represa.
Tendo como referência seu conhecimento as integrais e sua relação com áreas de curvas, julgue as afirmacoes abaixo em (V) Verdadeiras ou (F) Falsas.
( ) A integral pode ser utilizada para calcular a área da região delimitada pela função contínua , pelas retas verticais e e pelo eixo .
( ) A área delimitada superiormente pela curva , inferiormente pela curva e delimitado pelas retas e pode ser calculada por .
( ) A única aplicação para as integrais em engenharia são os cálculos de área abaixo de uma curva e entre duas curvas. Além disso, a integral se restringe a uma ferramenta matemática pouco útil.
( ) Ao calcular a integral de uma função contínua estamos calculando um valor que representa o comprimento total do arco dessa curva de até .
a) F – V – V – V
b) V – F – V – F
c) V – V – F – V
d) V – V – F – F
e) F – V – V – F

Material
páginas com resultados encontrados.
páginas com resultados encontrados.
left-side-bubbles-backgroundright-side-bubbles-background

Crie sua conta grátis para liberar esse material. 🤩

Já tem uma conta?

Ao continuar, você aceita os Termos de Uso e Política de Privacidade

left-side-bubbles-backgroundright-side-bubbles-background

Crie sua conta grátis para liberar esse material. 🤩

Já tem uma conta?

Ao continuar, você aceita os Termos de Uso e Política de Privacidade

left-side-bubbles-backgroundright-side-bubbles-background

Crie sua conta grátis para liberar esse material. 🤩

Já tem uma conta?

Ao continuar, você aceita os Termos de Uso e Política de Privacidade

left-side-bubbles-backgroundright-side-bubbles-background

Crie sua conta grátis para liberar esse material. 🤩

Já tem uma conta?

Ao continuar, você aceita os Termos de Uso e Política de Privacidade

left-side-bubbles-backgroundright-side-bubbles-background

Crie sua conta grátis para liberar esse material. 🤩

Já tem uma conta?

Ao continuar, você aceita os Termos de Uso e Política de Privacidade

left-side-bubbles-backgroundright-side-bubbles-background

Crie sua conta grátis para liberar esse material. 🤩

Já tem uma conta?

Ao continuar, você aceita os Termos de Uso e Política de Privacidade

left-side-bubbles-backgroundright-side-bubbles-background

Crie sua conta grátis para liberar esse material. 🤩

Já tem uma conta?

Ao continuar, você aceita os Termos de Uso e Política de Privacidade

Questões resolvidas

Um dos grandes avanços da geometria clássica foi a obtenção de fórmulas para determinar a área e o volume de triângulos, esferas e cones. Contudo há um método para calcular áreas e volumes das formas mais gerais. Esse método, chamado integração, é uma ferramenta para calcular muito mais do que áreas e volumes. A integral é de fundamental importância em estatística, ciências e engenharia. Ela nos permite calcular quantidades que vão desde probabilidades e médias até consumo de energia e forças que atuam contra as comportas de uma represa.
Tendo como referência seu conhecimento as integrais e sua relação com áreas de curvas, julgue as afirmacoes abaixo em (V) Verdadeiras ou (F) Falsas.
( ) A integral pode ser utilizada para calcular a área da região delimitada pela função contínua , pelas retas verticais e e pelo eixo .
( ) A área delimitada superiormente pela curva , inferiormente pela curva e delimitado pelas retas e pode ser calculada por .
( ) A única aplicação para as integrais em engenharia são os cálculos de área abaixo de uma curva e entre duas curvas. Além disso, a integral se restringe a uma ferramenta matemática pouco útil.
( ) Ao calcular a integral de uma função contínua estamos calculando um valor que representa o comprimento total do arco dessa curva de até .
a) F – V – V – V
b) V – F – V – F
c) V – V – F – V
d) V – V – F – F
e) F – V – V – F

Prévia do material em texto

1) 
O nome Teorema Fundamental do Cálculo é apropriado, pois ele estabelece uma conexão entre os dois ramos do cálculo: o cálculo diferencial e o cálculo integral. O cálculo diferencial surgiu do problema da tangente, enquanto o cálculo integral surgiu de um problema aparentemente não relacionado, o problema da área. O mentor de Newton em Cambridge, Isaac Barrow (1630-1677), descobriu que esses dois problemas estão, na verdade, estreitamente relacionados. Ele percebeu que a derivação e a integração são processos inversos. O Teorema Fundamental do Cálculo dá a relação inversa precisa entre a derivada e a integral. Foram Newton e Leibniz que exploraram essa relação e usaram-na para desenvolver o cálculo como um método matemático sistemático. Em particular, eles viram que o Teorema Fundamental os capacitava a calcular áreas e integrais muito mais facilmente, sem que fosse necessário calculá-las como limites de somas.
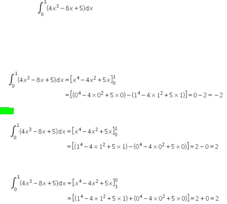
Considerando o contexto apresentado e seu conhecimento introdutório sobre integrais assinale a alternativa correta na qual apresenta resumidamente uma passo a passo para a solução da integral ..
Alternativas:
· a)
· b)
· c)
· d)
· e)
2) 
Para convertermos um ponto P=(x,y) do plano cartesiano para coordenadas polares precisamos ter em mente que: "para cada ponto P do plano, são associadas coordenadas (¿,¿) descritas da seguinte forma:
- ¿ é a distância do polo O ao ponto P
- ¿ é o ângulo entre o eixo polar e o seguimento de reta ."
 
Para auxiliar nessa visualização, observe o gráfico a seguir:
Fonte: Elaborada pela autora
Diante dessa informação e dos conteúdos da unidade, converta a reta y=-2 em coordenadas polares e assinale a alternativa que descreve esse resultado.
Alternativas:
· a)
 
· b)
 
· c)
 
· d)
 
· e)
3) 
O cálculo do comprimento de uma curva é uma das informações importantes que usamos para avaliar a área dessa curva.
Seja em coordenadas cartesianas
ou em coordenadas polares
o comprimento de um arco é calculado utilizando integrais definidas.
 Calcule o comprimento do da circunferência descrita pela equação .
Alternativas:
· a)
8p
· b)
2p
· c)
4p
· d)
16p
· e)
3p
4) 
Um dos grandes avanços da geometria clássica foi a obtenção de fórmulas para determinar a área e o volume de triângulos, esferas e cones. Contudo há um método para calcular áreas e volumes das formas mais gerais. Esse método, chamado integração, é uma ferramenta para calcular muito mais do que áreas e volumes. A integral é de fundamental importância em estatística, ciências e engenharia. Ela nos permite calcular quantidades que vão desde probabilidades e médias até consumo de energia e forças que atuam contra as comportas de uma represa. Estudaremos uma variedade dessas aplicações no próximo capítulo, mas, neste, iremos nos concentrar no conceito de integral e em seu uso no cálculo de áreas de várias regiões com contornos curvos.
 
Tendo como referência seu conhecimento as integrais e sua relação com áreas de curvas, julgue as afirmações abaixo em (V) Verdadeiras ou (F).
( ) A integral  pode ser utilizada para calcular a área da região delimitada pela função contínua , pelas retas verticais  e  e pelo eixo .  
( ) A área delimitada superiormente pela curva , inferiormente pela curva  e delimitado pelas retas   e    pode ser calculada por .
( ) A única aplicação para as integrais em engenharia são os cálculos de área abaixo de uma curva e entre duas curvas. Além disso, a integral se restringe a uma ferramenta matemática pouco útil.
( ) Ao calcular a integral  de uma função contínua estamos calculando um valor que representa o comprimento total do arco dessa curva de   até  .  
Assinale a alternativa que apresenta a sequência correta.
Alternativas:
· a)
F – V – V – V
· b)
V – F – V – F
· c)
V – V – F – V
· d)
V – V – F – F
· e)
F – V – V – F
5) 
É muito frequente, em se tratando de modelar um fenômeno ou um experimento qualquer, obtermos equações que envolvam as “variações” das quantidades (variáveis) presentes e consideradas essenciais. Desta forma, as leis que regem tal fenômeno são traduzidas por equações de variações. Quando estas variações são instantâneas, o fenômeno se desenvolve continuamente e as equações matemáticas são de nominadas equações diferenciais, ao passo que se as variáveis envolvidas forem discretizadas, isto é, funções de uma rede de pontos, em que temos as médias das variações, então as equações que descrevem o fenômeno serão denominadas equações de diferenças.
 
Tendo como referência seu conhecimento sobre Equações Diferenciais Ordinárias (EDO) Separáveis, julgue as afirmações abaixo em (V) Verdadeira ou (F) Falsa.
( ) A EDO   é separável, e pode ser escrita como .
( ) A EDO   é separável, e pode ser escrita como  .
( ) A EDO é separável, e pode ser escrita como .
( ) A EDO   é separável, e pode ser escrita como .
Assinale a alternativa que apresenta a sequência correta.
Alternativas:
· a)
F – V – V – V
· b)
V – F – V – F
· c)
V – V – F – V
· d)
F – F – V – V
· e)
F – V – V – F

Mais conteúdos dessa disciplina