Logo Passei Direto
Buscar
Material
páginas com resultados encontrados.
páginas com resultados encontrados.
left-side-bubbles-backgroundright-side-bubbles-background

Crie sua conta grátis para liberar esse material. 🤩

Já tem uma conta?

Ao continuar, você aceita os Termos de Uso e Política de Privacidade

left-side-bubbles-backgroundright-side-bubbles-background

Crie sua conta grátis para liberar esse material. 🤩

Já tem uma conta?

Ao continuar, você aceita os Termos de Uso e Política de Privacidade

left-side-bubbles-backgroundright-side-bubbles-background

Crie sua conta grátis para liberar esse material. 🤩

Já tem uma conta?

Ao continuar, você aceita os Termos de Uso e Política de Privacidade

Prévia do material em texto

QUÍMICA Capítulo 6 Soluções280
 59 UFRRJ Foram misturados 50 mL de solução aquosa 0,4 molar de ácido clorídrico, com 50 mL de solução de hidróxido
de cálcio, de mesma concentração.
a) Ao final da reação, o meio ficará ácido ou básico? Justifique sua resposta com cálculos.
b) Calcule a concentração molar do reagente remanescente na mistura.
 60 UEL Misturam-se 200 mililitros de solução de hidróxido de potássio de concentração 5,0 g/L com 300 mililitros de
solução da mesma base com concentração 4,0 g/L. A concentração em g/L da solução final vale:
A 0,50
B 1,1
C 2,2
D 3,3
E 4,4
 61 UFV Misturando-se 20 mL de solução de NaCl, de concentração 6,0 mol/L, com 80mL de solução de NaCl, de con-
centração 2,0 mol/L, são obtidos 100 mL de solução de NaCl, de concentração, em mol/L, igual a:
A 1,4
B 2,8
C 4,2
D 5,6
E 4,0
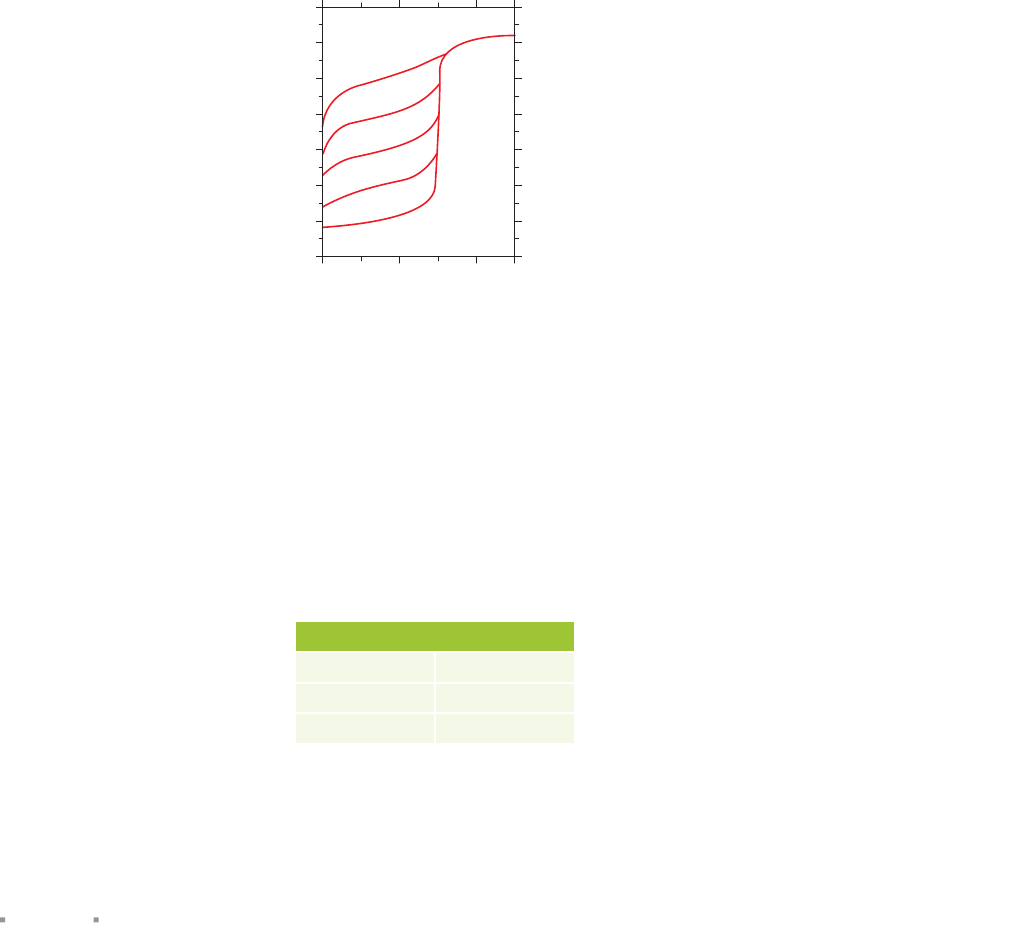
 62 ITA São fornecidas as seguintes informações a respeito de titulação ácido-base:
A gura mostra as curvas de titulação de 30,0 mL de diferentes ácidos (I, II, III, IV e V), todos a 0,10 mol L
–1, com uma
solução aquosa 0,10 moI L
–1
 em NaOH.
O indicador fenolftaleína apresenta o intervalo de mudança de cor entre pH 8,0 a 10,0, e o indicador vermelho de
metila, entre pH 4,0 a 6,0.
14,0
12,0
10,0
8,0
6,0
4,0
2,0
0,0
0,0
V
IV
III
II
I
20,0 40,0 V
NaOH
 (mL)
pH
Considerando estas informações, é correto armar que:
A o indicador vermelho de metila é mais adequado que a fenolftaleína para ser utilizado na titulação do ácido IV.
B o indicador vermelho de metila é mais adequado que a fenolftaleína para ser utilizado na titulação do ácido V.
C o ácido III é mais forte que o ácido II.
D os dois indicadores (fenolftaleína e vermelho de metila) são adequados para a titulação do ácido I.
E os dois indicadores (fenolftaleína e vermelho de metila) são adequados para a titulação do ácido III.
 63 Fuvest Determinou-se o número de moléculas de água de hidratação (x) por molécula de ácido oxálico hidratado
(H2C2O4 ⋅ xH2O), que é um ácido dicarboxílico. Para isso, foram preparados 250 mL de uma solução aquosa, conten-
do 5,04 g de ácido oxálico hidratado. Em seguida, 25,0 mL dessa solução foram neutralizados com 16,0 mL de uma
solução de hidróxido de sódio, de concentração 0,500 mol/L.
a) Calcule a concentração, em mol/L, da solução aquosa de ácido oxálico.
b) Calcule o valor de x.
Massas molares (g/mol)
H 1
C 12
O 16
4
CAPÍTULO Cinética Química
As explosões são reações químicas extremamente rápidas, exotérmicas e pro-
vocam grande expansão dos gases. Neste capítulo, estudaremos a velocidade das
reações químicas e os fatores que são capazes de alterá-la.
FRENTE 3
d
ri
a
l7
m
1/
iS
to
c
k
p
h
o
to
.c
o
m
QUÍMICA Capítulo 4 Cinética Química282
Introdução
Comumente observamos diversos tipos de reação quí-
mica, que podem ocorrer de forma muito rápida ou muito
lenta. As reações de neutralização entre ácidos e bases,
a combustão de metano gasoso e o deslocamento de equi-
líbrio de um indicador na presença de um ácido ou de uma
base são exemplos de fenômenos químicos praticamente
instantâneos. Já o escurecimento de uma banana descas-
cada em contato com o ar, o escurecimento de uma lente
de óculos fotossensível e a reação entre bissulfito e ioda-
to são exemplos de reações que duram alguns segundos.
Também existem reações que podem durar horas ou dias,
como a formação de ferrugem em palha de aço. E há ainda
as que duram anos ou mesmo séculos, como o processo
de formação do petróleo.
Para que se compreenda o mecanismo que define se uma
reação será rápida ou lenta, muitos cientistas, como Svante
Arrhenius, Cato Guldberg e Peter Waage, dedicaram anos
de seus trabalhos. E foi por meio do estudo e das descober-
tas desses cientistas que surgiu um novo ramo da Química:
a Cinética Química. Veja a definição:
Cinética Química é a parte da Química que
estuda as velocidades das reações e os fatores
que alteram essas velocidades.
O estudo de Cinética será dividido em:
• Velocidade média e velocidade instantânea
• Mecanismos de reação
• Fatores que alteram a velocidade das reações
• Lei da ação das massas (lei de Guldberg-Waage)
Velocidade de uma reação
Para melhor compreensão do conceito de velocidade de
uma reação, vamos analisar primeiramente a velocidade
de um móvel, que é definida como a rapidez com que ele
muda de posição em relação a determinado referencial.
A expressão do cálculo da velocidade é dada por:
v
S
t
(equação I)= ∆
∆
Comparando a definição com a expressão, temos:
Muda Posição
Velocidade
Rapidez
∆S
∆t
v =
Seguindo a mesma lógica, define-se aceleração como a
rapidez com que um móvel muda de velocidade em relação
a determinado referencial. Assim, a expressão do cálculo
da aceleração é dada por:
a
v
t
(equação II)= ∆
∆
Comparando a definição com a expressão, temos:
Muda Velocidade
Aceleração
Rapidez
∆v
∆t
a =
Mas, afinal, o que é a velocidade de uma reação?
Primeiramente, uma reação química é um fenômeno que
modifica substâncias, ou seja, que converte reagentes em
produtos. Portanto, a velocidade de uma reação é a rapi-
dez com que reagentes são convertidos em produtos, em
relação a determinado referencial (que, nesse caso, é uma
das substâncias que estão envolvidas na reação). Assim:
v
Reagentes Produtos
t
(equação III)= →
∆
De modo mais específico, podemos definir a velocidade
de uma reação como a rapidez com que os reagentes são
consumidos ou a rapidez com que os produtos são produ-
zidos. Portanto:
v
Q
t
(equaçãoIV)
X
X=
∆
∆
Nesse caso, X é uma substância que pode ser reagente
ou produto da reação. É o referencial no qual a velocidade
da reação foi medida. Q é a quantidade de X, que, em
princípio, pode ser medida em gramas, mols, litros ou mol/L.
∆ = Q Q Q (equação V)
final inicial
Como a variação da quantidade de uma substância ao
longo da reação pode ser positiva (os produtos são gerados)
ou negativa (os reagentes são consumidos), e como a veloci-
dade de uma reação deve ser um número positivo, deve-se
tomar o módulo da variação da quantidade de X para o cálculo
da velocidade da reação.
A quantidade Q, como já foi dito, pode ser medida em
várias unidades diferentes. Entretanto, essa diversidade de
possibilidades pode não ser adequada.
Suponha um balão volumétrico de 1 L, contendo um
meio reacional em solução aquosa, com a reação já em cur-
so. Se transferirmos uma alíquota de 50 mL dessa solução
para um béquer menor, teremos a mesma reação ocorrendo
em dois ambientes distintos. Mas em qual deles a reação se
completará primeiro? Em qual dos dois ambientes a reação
é mais veloz? Como se trata do mesmo fenômeno, é co-
mum pensar que a reação terminará ao mesmo tempo em
ambos, o que significa dizer que a velocidade é a mesma
nos dois casos. E se a velocidade for medida em gramas
por segundo? De fato, o número de gramas que reagem por
segundo no balão volumétrico é maior do que o número de
gramas que reagem por segundo no béquer. Assim, a mes-
ma reação, em dois ambientes, teria valores de velocidade
distintos, o que mostra uma contradição no conceito. Não
seria diferente se a quantidade fosse medida em mols ou
em litros, já que a velocidade não seria uma característica
da reação, mas do tamanho da amostra.
Também podemos pensar na seguinte questão: uma
reação com velocidade de 5 g/s é rápida ou lenta? Nesse
caso, o valor da velocidade nessa unidade de medida não
tem sustentação para que possamos concluir se a reação é
rápida ou lenta. Se o fenômeno em questão estiver sendo
realizado em um tanque, então é uma reação lenta. Mas, se
estiver sendo realizado em um tubo de ensaio, então é uma
reação rápida. Portanto, um valor de velocidade em que Q
é medido em gramas, mols ou litros não tem respaldo para
indicar se a reação é rápida ou lenta.

Mais conteúdos dessa disciplina