Logo Passei Direto
Buscar

exercíciosmedicina-química-Exercícios sobre Solubilidade_exercícios específicos-21-06-2019-1b7e990d031a9a54cdda54261a1759d9

Ferramentas de estudo

Questões resolvidas

Houve a formação de precipitado, pois, a 20 °C a solubilidade do KCℓ é menor do que a 40 °C. É um processo endotérmico, pois de acordo com a tabela, com a elevação da temperatura a solubilidade do cloreto de potássio aumenta.

A ocorrência de NaCℓ sólido indica que a solução sobrenadante deverá estar saturada, isto é, obedecendo à solubilidade (máxima) do sal, que é igual a 360 g/L. 1 litro (mar) - 25 g NaCℓ x - 1000 g NaCℓ x = 40 L

Material
páginas com resultados encontrados.
páginas com resultados encontrados.
left-side-bubbles-backgroundright-side-bubbles-background

Crie sua conta grátis para liberar esse material. 🤩

Já tem uma conta?

Ao continuar, você aceita os Termos de Uso e Política de Privacidade

left-side-bubbles-backgroundright-side-bubbles-background

Crie sua conta grátis para liberar esse material. 🤩

Já tem uma conta?

Ao continuar, você aceita os Termos de Uso e Política de Privacidade

left-side-bubbles-backgroundright-side-bubbles-background

Crie sua conta grátis para liberar esse material. 🤩

Já tem uma conta?

Ao continuar, você aceita os Termos de Uso e Política de Privacidade

left-side-bubbles-backgroundright-side-bubbles-background

Crie sua conta grátis para liberar esse material. 🤩

Já tem uma conta?

Ao continuar, você aceita os Termos de Uso e Política de Privacidade

left-side-bubbles-backgroundright-side-bubbles-background

Crie sua conta grátis para liberar esse material. 🤩

Já tem uma conta?

Ao continuar, você aceita os Termos de Uso e Política de Privacidade

left-side-bubbles-backgroundright-side-bubbles-background

Crie sua conta grátis para liberar esse material. 🤩

Já tem uma conta?

Ao continuar, você aceita os Termos de Uso e Política de Privacidade

left-side-bubbles-backgroundright-side-bubbles-background

Crie sua conta grátis para liberar esse material. 🤩

Já tem uma conta?

Ao continuar, você aceita os Termos de Uso e Política de Privacidade

left-side-bubbles-backgroundright-side-bubbles-background

Crie sua conta grátis para liberar esse material. 🤩

Já tem uma conta?

Ao continuar, você aceita os Termos de Uso e Política de Privacidade

left-side-bubbles-backgroundright-side-bubbles-background

Crie sua conta grátis para liberar esse material. 🤩

Já tem uma conta?

Ao continuar, você aceita os Termos de Uso e Política de Privacidade

left-side-bubbles-backgroundright-side-bubbles-background

Crie sua conta grátis para liberar esse material. 🤩

Já tem uma conta?

Ao continuar, você aceita os Termos de Uso e Política de Privacidade

Questões resolvidas

Houve a formação de precipitado, pois, a 20 °C a solubilidade do KCℓ é menor do que a 40 °C. É um processo endotérmico, pois de acordo com a tabela, com a elevação da temperatura a solubilidade do cloreto de potássio aumenta.

A ocorrência de NaCℓ sólido indica que a solução sobrenadante deverá estar saturada, isto é, obedecendo à solubilidade (máxima) do sal, que é igual a 360 g/L. 1 litro (mar) - 25 g NaCℓ x - 1000 g NaCℓ x = 40 L

Prévia do material em texto

1 
Química 
 
Exercícios sobre Solubilidade: exercícios específicos 
 
 
Exercícios 
 
 
Texto para a próxima questão: 
A cada quatro anos, durante os Jogos Olímpicos, bilhões de pessoas assistem à tentativa do Homem e 
da Ciência de superar limites. Podemos pensar no entretenimento, na geração de empregos, nos 
avanços da Ciência do Desporto e da tecnologia em geral. Como esses jogos podem ser analisados do 
ponto de vista da Química? As questões a seguir são exemplos de como o conhecimento químico é ou 
pode ser usado nesse contexto. 
 
 
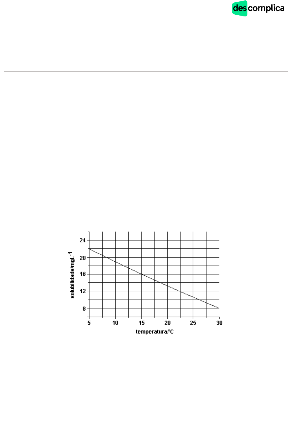
1. A figura a seguir mostra a solubilidade do gás ozônio em água em função da temperatura. Esses dados 
são válidos para uma pressão parcial de 3.000 Pa do gás em contato com a água. A solubilização em 
água, nesse caso, pode ser representada pela equação: 
 
ozônio(g) + H2O(ℓ) ozônio (aq) 
 
a) Esboce, na figura apresentada a seguir, um possível gráfico de solubilidade do ozônio, 
considerando, agora, uma pressão parcial igual a 5.000 Pa. Justifique. 
 
b) Considerando que o comportamento da dissolução, apresentado na figura abaixo, seja válido para 
outros valores de temperatura, determine a que temperatura a solubilidade do gás ozônio em água 
seria nula. Mostre como obteve o resultado. 
 
 
 
 
 
 
 
 
 
 
2 
Química 
 
2. O cloreto de potássio é solúvel em água e a tabela a seguir fornece os valores de solubilidade deste 
sal em g/100 g de água, em função da temperatura. 
 
Preparou-se uma solução de cloreto de potássio a 40 °C dissolvendo-se 40,0 g do sal em 100 g de 
água. A temperatura da solução foi diminuída para 20 °C e observou-se a formação de um precipitado. 
a) Analisando a tabela de valores de solubilidade, explique por que houve formação de precipitado e 
calcule a massa de precipitado formado. 
b) A dissolução do cloreto de potássio em água é um processo endotérmico ou exotérmico? Justifique 
sua resposta. 
 
 
3. Industrialmente, o clorato de sódio é produzido pela eletrólise da salmoura* aquecida, em uma cuba 
eletrolítica, de tal maneira que o cloro formado no anodo se misture e reaja com o hidróxido de sódio 
formado no catodo. A solução resultante contém cloreto de sódio e clorato de sódio. 
 
2NaCl(aq) + 2H2O(ℓ) → 
→Cl2(g) + 2NaOH(aq) + H2(g) 
 
3Cl2(g) + 6 NaOH(aq) → 
→ 5NaCl(aq) + NaClO3(aq) + 3H2O(ℓ) 
 
 
* salmoura = solução aquosa saturada de cloreto de sódio 
 
 
Ao final de uma eletrólise de salmoura, retiraram-se da cuba eletrolítica, a 90 °C, 310 g de solução 
 
 
 
 
3 
Química 
 
aquosa saturada tanto de cloreto de sódio quanto de clorato de sódio. Essa amostra foi resfriada a 25 
°C, ocorrendo a separação de material sólido. 
a) Quais as massas de cloreto de sódio e de clorato de sódio presentes nos 310 g da amostra retirada 
a 90 °C? Explique. 
b) No sólido formado pelo resfriamento da amostra a 25 °C, qual o grau de pureza (% em massa) do 
composto presente em maior quantidade? 
c) A dissolução, em água, do clorato de sódio libera ou absorve calor? Explique. 
 
 
4. A curva do gráfico, a seguir, mostra a solubilidade de um certo soluto em água. 
 
Responda às perguntas a seguir, justificando sua resposta. 
a) Qual ou quais dos pontos do gráfico representam uma solução saturada homogênea? 
b) Indique em que pontos do gráfico existem soluções saturadas heterogêneas. 
c) Através do conceito de solução insaturada, aponte no gráfico o(s) ponto(s) onde esta situação 
ocorre. 
d) Que procedimentos podem ser utilizados para precipitar (cristalizar) parte do soluto da solução D, 
sem alterar as quantidades do solvente e do soluto da referida solução? 
 
 
5. Uma solução saturada de nitrato de potássio (KNO3) constituída, além do sal, por 100 g de água, está 
à temperatura de 70 °C. Essa solução é resfriada a 40 °C, ocorrendo precipitação de parte do sal 
dissolvido. Calcule: 
a) a massa do sal que precipitou. 
b) a massa do sal que permaneceu em solução. 
c) A seguir, o gráfico da solubilidade do nitrato de potássio em função da temperatura. 
 
 
 
 
 
4 
Química 
 
6. A recristalização consiste em dissolver uma substância a uma dada temperatura, no menor volume de 
solvente possível e a seguir resfriar a solução, obtendo-se cristais da substância. 
Duas amostras de ácido benzoico, de 25,0 g cada, foram recristalizadas em água segundo esse 
procedimento, nas condições apresentadas na figura 1: 
a) Calcule a quantidade de água necessária para a dissolução de cada amostra. 
b) Qual das amostras permitiu obter maior quantidade de cristais da substância? Explique. 
Dados: curva de solubilidade do ácido benzoico em água (massa em gramas de ácido benzoico que 
se dissolve em 100g de água, em cada temperatura), ver figura 2. 
 
 
 
 
7. O gráfico a seguir mostra as curvas de solubilidade em água, em função da temperatura, dos sais 
KNO3 e MnSO4. 
 
 
Com base neste gráfico, discuta se as afirmações a e b são verdadeiras ou falsas. 
a) O processo de dissolução dos dois sais é endotérmico. 
b) 100 mL de solução saturada a 56°C contêm aproximadamente 10g de KNO3. 
 
 
 
 
 
 
 
 
5 
Química 
 
8. Nas salinas, o cloreto de sódio é obtido pela evaporação da água do mar a 30°C, aproximadamente. 
a) Um volume de água do mar é evaporado até o aparecimento de NaCℓ sólido. Qual é a 
concentração de NaCℓ na solução resultante? Justifique a resposta. 
b) Qual o volume de água do mar que deve ser evaporado completamente para a produção de 1,00kg 
de NaCℓ sólido? 
Atenção: nem todos os dados fornecidos a seguir serão utilizados para resolver os itens anteriores. 
Dados: 
- Massa molar da água = 18,0g/mol 
- Massa molar do NaCℓ = 58,4g/mol 
- Solubilidade do NaCℓ em água, a 30°C, =6,16mol/L, que corresponde a 360g/L 
- Concentração do NaCℓ na água do mar =0,43mol/L, que corresponde a 25g/L 
- Densidade da água do mar a 30°C, = 1,03g/cm3 
- Densidade da água pura a 30°C = 0,9956g/cm3 
 
 
9. A solubilidade do NaC aumenta com a temperatura. Sabe-se que, a 0°C, 60g do sal formam, com 
água, 260 g de solução saturada. Aquecendo-se a solução a 80°C, a saturação só será mantida se 
forem acrescentados 20 g do sal. 
A partir desses dados, 
a) escreva a equação química de dissolução do NaC . 
b) construa (no gráfico a seguir) a curva de solubilidade do sal. 
 
 
 
 
 
 
 
 
 
 
 
 
 
 
 
 
 
 
 
 
6 
Química 
 
10. Observe o gráfico a seguir e responda às questões que se seguem. 
 
a) Qual a menor quantidade de água necessária para dissolver completamente, a 60°C, 120g de B? 
b) Qual a massa de A necessária para preparar, a 0°C, com 100g de água, uma solução saturada (I) 
e outra solução insaturada (II)? 
 
 
 
 
 
7 
Química 
 
Gabarito 
 
1. 
a) A curva para a pressão de 5.000 Pa está acima daquela para a pressão de 3.000 Pa, pois um 
aumento da pressão faz aumentar a solubilidade do gás na água. 
 
b) Tomando-se um segmento linear da curva, teremos: y1 = ax1 + b e y2 = ax2 + b. Tomando-se, por 
exemplo, os pares (5;22 e 15;16), teremos: 
a = (y2 - y1)/(x2 - x1) 
a = (22 - 16)/(5 - 15) = - 0,60 
 
b = y1 - ax1 
b = 22 - (- 0,60 × 5) = 25,0 
 
Assim, a solubilidade será zero para t = 41,7 °C (- 0,60t + 25,0). 
Observação: Como a solubilidade não varia linearmente de forma perfeita com a temperatura, 
dependendo do segmento de reta considerado, o resultado pode variar entre 41,0 e 47,0 °C. 
 
 
 
 
 
 
 
 
8 
Química 
 
 
2. 
a) 40 °C: 
Solubilidade: 40 g (KCℓ) ------ 100 g água 
Temos: 40 g (KCℓ) ------ 100 g água 
20 °C: 
Solubilidade: 34 g (KCℓ) ------ 100 g água 
 Temos: 40 g (KCℓ) ------ 100 g água 
40 g - 34 g = 6 g (massa de precipitado formado). 
 
Houve a formação de precipitado, pois, a 20 °C a solubilidade do KCℓ é menor do que a 40 °C. 
 
b) É um processo endotérmico, pois de acordo com a tabela, com a elevação da temperatura a 
solubilidade do cloreto de potássio aumenta. 
 
3. 
a) Pelo gráficoem 100 g de água a 90°C, temos: 
NaClO3: 170 g 
NaCl: 40 g 
m(total) = 100 g + 170 g + 40 g = 310 g. 
 
b) Pelo gráfico em 100 g de água a 25°C, temos: 
NaClO3: 102 g 
NaCl: 38 g 
Logo, cristalizam: 
170 g - 102 g = 68 g de NaClO3 
40 g - 38 g = 2 g de NaCl 
Massa total cristalizada = 68 g + 2 g = 70 g. 
70 g ------ 100 % 
68 g ------ p 
p = 97,1 % de pureza de NaClO3. 
 
c) NaClO3(s) Na+(aq) + ClO3(aq) 
Um aumento de temperatura desloca o equilíbrio para a direita e aumenta o número de íons na 
solução. 
 
4. 
a) A solução D, pois nesta solução a quantidade de soluto dissolvida é igual a sua solubilidade. 
b) Nos pontos A e C, pois nestas soluções a quantidade de soluto está acima da solubilidade. 
c) As soluções insaturadas possuem uma quantidade de soluto inferior a solubilidade na temperatura 
analisada. O ponto B corresponde a esta situação. 
d) Verifica-se pelo gráfico que o soluto tem dissolução endotérmica (com absorção de energia), pois sua 
solubilidade aumenta com a elevação da temperatura. Reduzindo a temperatura podemos cristalizar 
parte do soluto da solução D. 
 
5. 
a) m = 80 g 
b) m = 60 g 
 
 
 
 
9 
Química 
 
6. 
a) Amostra 1 → 500 g de H2O 
Amostra 2 → 1087 g de H2O 
(cálculo aproximado) 
 
b) Amostra 1: a 20°C o ácido benzoico é menos solúvel. 
 
7. 
a) Falsa. 
O aumento da temperatura favorece a solubilidade do KNO3. O processo é, portanto, endotérmico, 
ou seja absorve calor. 
A solubilidade do MnSO4 cai com o aumento da temperatura. Isso indica que o processo de 
dissolução é exotérmico, isto é, libera calor. 
 
b) Verdadeira. 
Pelo gráfico observa-se que, a 56 °C, existem aproximadamente 10g de KNO3 em 100 mL de solução 
saturada. 
 
8. 
a) A ocorrência de NaCℓ sólido indica que a solução sobrenadante deverá estar saturada, isto é, 
obedecendo à solubilidade (máxima) do sal, que é igual a 360 g/L. 
 
b) 1 litro (mar) - 25 g NaCℓ 
 x - 1000 g NaCℓ 
 
x = 40 L 
 
9. 
a) Equação química de dissolução do NaC : NaC (s) NaC (aq) Na (aq) C (aq)+ −→ → + . 
b) A solubilidade do NaC aumenta com a temperatura, logo a reta é crescente. 
Sabe-se que, a 0°C, 60 g do sal formam, com água, 260 g de solução saturada. 
60 g 200 g de água (260 g de solução)
30 g 100 g de água (130 g de solução)
 
 
Aquecendo-se a solução a 80°C, a saturação só será mantida se forem acrescentados 20 g do sal, 
ou seja: 
acréscimo
30 g 20 g 50 g de sal
50 g
+ =
100 g de água (150 g de solução)
 
 
O primeiro ponto será 30 g e 0 C. 
O segundo ponto será 50 g e 80 C. 
 
 
 
 
 
 
 
 
 
 
10 
Química 
 
Então: 
 
 
10. 
a) 300g H2O 
b) Para a solução saturada, a 0°C, 100g de água dissolve, no máximo, 10g de A. 
Para a solução insaturada, a 0°C, 100g de água dissolve uma massa de A inferior a 10g.

Mais conteúdos dessa disciplina