Logo Passei Direto
Buscar
Material
páginas com resultados encontrados.
páginas com resultados encontrados.
left-side-bubbles-backgroundright-side-bubbles-background

Crie sua conta grátis para liberar esse material. 🤩

Já tem uma conta?

Ao continuar, você aceita os Termos de Uso e Política de Privacidade

left-side-bubbles-backgroundright-side-bubbles-background

Crie sua conta grátis para liberar esse material. 🤩

Já tem uma conta?

Ao continuar, você aceita os Termos de Uso e Política de Privacidade

Prévia do material em texto

W
Y
M
 D
e
s
ig
n
/A
rq
u
iv
o
 d
a
 e
d
it
o
ra
Não escreva no livro.
	23.	O ano de 2019 registrou queda no número de acidentes envolvendo helicópteros no Brasil. A redução chegou a qua-
se metade dos casos, em comparação com o ano anterior. As principais causas apontadas como responsáveis pelos 
acidentes ocorridos em 2019 foram perda de controle em voo, colisão com obstáculo e pouso brusco. 
O gráfico a seguir apresenta um levantamento estatístico sobre acidentes aéreos no Brasil de 2010 a 2019. Ele 
mostra o número de acidentes, o número de acidentes fatais, isto é, acidentes em que houve mortos e o número 
de fatalidades, ou seja, de mortes ocasionadas por acidentes aéreos.
Panorama dos acidentes aéreos no Brasil (2010-2019)
200
0
Ano
Quantidade de ocorr•ncias
FatalidadesAcidentes fataisAcidentes
50
129
187
206 199
175 172
163
146
166
152
61
35
80
54
30
104
45
78
46
80
94
110110
55
31
42
55
43
37 38
100
150
2010 2011 2012 2013 2014 2015 2016 2017 2018 2019
Fonte de consulta: Centro de Investigações e Prevenção de Acidentes Aeronáuticos. PAINEL SIPAER. Disponível em: http://painelsipaer.cenipa.
aer.mil.br/QvAJAXZfc/opendoc.htm?document=SIGAER%2Fgia%2Fqvw%2Fpainel_sipaer.qvw&host=QVS%40cirros31-37&anonymous=true. 
Acesso em: 19 jun. 2020.
Observando o gráfico, responda às seguintes questões:
	a) Quantos acidentes ocorreram no período? 1 695
	b) Analisando o total de acidentes ocorridos em 2012 em relação ao total de acidentes ocorridos em 2019, qual foi o 
decréscimo percentual? Aproximadamente 26%.
	c) Em quais anos o número de fatalidades foi superior a 90? 2011, 2012, 2013 e 2016.
	d) Em qual ano ocorreu o menor número de acidentes fatais? 2017
	e) Em qual ano foi registrada a maior diferença entre o total de acidentes e o número de acidentes fatais?
	 f) Em comparação com a média de 2010 a 2018, em quantos por cento o número de acidentes fatais diminuiu em 
2019? E o número de fatalidades?
2013
Aproximadamente 15%. Aproximadamente 28%.
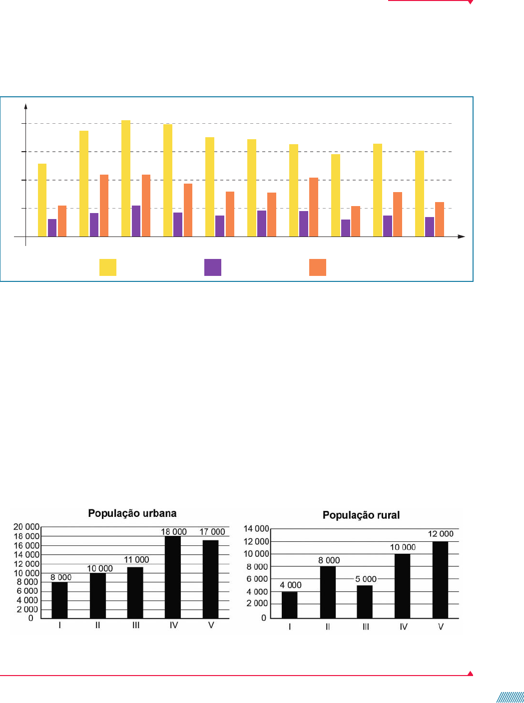
	24.	(Enem) A taxa de urbanização de um município é dada pela razão entre a população urbana e a população total do 
município (isto é, a soma das populações rural e urbana). Os gráficos apresentam, respectivamente, a população ur-
bana e a população rural de cinco municípios (I, II, III, IV, V) de uma mesma região estadual. Em reunião entre o go-
verno do estado e os prefeitos desses municípios, ficou acordado que o município com maior taxa de urbanização 
receberá um investimento extra em infraestrutura.
Segundo o acordo, qual município receberá o investimento extra? 
	a) I 	b) II 	c) III 	d) IV 	e) V
Alternativa c.
R
e
p
ro
d
u
ç
ã
o
/E
n
e
m
, 
2
0
1
9
.
31
008a031_V6_MATEMATICA_Dante_g21At_Cap1_LA.indd 31008a031_V6_MATEMATICA_Dante_g21At_Cap1_LA.indd 31 18/09/2020 10:3718/09/2020 10:37
Gráfico de setores
Em uma exposição, o número de visitantes foi de 3 500 no primeiro dia, 1 400 no segundo dia e 2 100 no 
terceiro dia.
Veja como podemos representar esses dados em uma tabela de frequências e em um gráfico de 
setores.
Número de visitantes nos 
primeiros três dias de exposição
Dia FA FR
1
o
 dia 3 500 50%
2
o
 dia 1 400 20%
3
o
 dia 2 100 30%
Total 7 000 100%
Tabela elaborada para fins didáticos.
No gráfico de setores, o círculo todo representa o total (100%), e os setores indicam a frequência corres-
pondente aos valores da variável.
Na construção do gráfico de setores, determina-se o ângulo correspondente a cada setor proporcional-
mente à frequência do valor da variável. Veja a seguir como podemos determinar a medida de abertura do 
ângulo do setor correspondente à frequência do 2o dia.
•	 Usando a frequência absoluta e aplicando a regra de três simples, temos:
5
°
x1400
7 000 360
 ~ 7 000x 5 504 000° ~ x 5 72°
•	 Usando a frequência relativa, em porcentagem, temos:
x é 20% de 360°, assim, x 5 0,20 ? 360° 5 72°
Observe a seguir outro exemplo de gráfico de setores, que mostra a porcentagem de internações de 
crianças de 0 a 14 anos por tipo de acidente.
50%
30%
20%
1o dia
2o dia
3o dia
Gráfico elaborado para fins didáticos.
Número de visitantes nos primeiros 
três dias de exposição
W
Y
M
 D
e
s
ig
n
/A
rq
u
iv
o
 d
a
 e
d
it
o
ra
0,40%
18,50%
46,10%
3,10%
21,70%
9,90%
Trânsito Queda Sufocação Queimadura Intoxicação Outros
Fonte de consulta: CRIANÇA SEGURA BRASIL. Acidentes em números. Disponível em: 
https://criancasegura.org.br/dados-de-acidentes/. Acesso em: 19 jun. 2020.
Internações de crianças de 0 a 14 anos por acidentes (2018)
W
Y
M
 D
e
s
ig
n
/A
rq
u
iv
o
 d
a
 e
d
it
o
ra
32
032a058_V6_MATEMATICA_Dante_g21At_Cap1_LA.indd 32032a058_V6_MATEMATICA_Dante_g21At_Cap1_LA.indd 32 18/09/2020 10:3818/09/2020 10:38

Mais conteúdos dessa disciplina