Logo Passei Direto
Buscar
Material
páginas com resultados encontrados.
páginas com resultados encontrados.
left-side-bubbles-backgroundright-side-bubbles-background

Crie sua conta grátis para liberar esse material. 🤩

Já tem uma conta?

Ao continuar, você aceita os Termos de Uso e Política de Privacidade

Prévia do material em texto

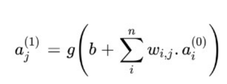
O aprendizado de máquina utiliza técnicas como a retropropagação (backpropagation) e o gradiente descente para obter pesos (weights) e vieses (bias) que produzam uma resposta progressivamente melhor que a obtida anteriormente. A ideia fundamental consiste na elaboração de uma função de custo que permita avaliar o quanto a rede está distante do objetivo pretendido. Esses conceitos podem ser aplicados tanto para redes supervisadas quanto para não supervisadas. As redes convolucionais também fazem uso dessas técnicas, porém necessitam de pequenas modificações para se adaptar ao conceito das novas redes, em que cada neurônio da camada oculta seguinte é fruto da convolução de um pequeno campo receptivo, e não mais da conexão total de todos os pixels anteriores. Haverá, portanto, redução na quantidade de pesos e vieses, o que impactará também na equação do somatório de valores que determinam o valor de um neurônio. Assim, considerando o valor de um neurônio a partir da equação utilizada para redes totalmente conectadas, quais seriam as modificações nesta para que ela pudesse ser utilizada em redes convolucionais? 
Lembre que, para uma rede convencional, toda a imagem é varrida para obter o valor de um único neurônio, enquanto, para a rede convolucional, apenas uma região do tamanho do kerneldeve ser utilizada, mashaverá campos receptivos ao longo de toda a imagem.
image1.png

Mais conteúdos dessa disciplina