Logo Passei Direto
Buscar

2 TESTE DE MATEMATICA DO 9 ANO DA 1 UNIDADE DO PROF MARCOS PESSOA

Ferramentas de estudo

Questões resolvidas

Material
páginas com resultados encontrados.
páginas com resultados encontrados.
left-side-bubbles-backgroundright-side-bubbles-background

Crie sua conta grátis para liberar esse material. 🤩

Já tem uma conta?

Ao continuar, você aceita os Termos de Uso e Política de Privacidade

left-side-bubbles-backgroundright-side-bubbles-background

Crie sua conta grátis para liberar esse material. 🤩

Já tem uma conta?

Ao continuar, você aceita os Termos de Uso e Política de Privacidade

Questões resolvidas

Prévia do material em texto

ESCOLA MUNICIPAL MARIA JOSE DE PAULA MOREIRA
PROFESSOR: MARCOS PESSOA
DATA: 26 -04 - 2024
TURMA: 9 ANO – C
ALUNO(A)................................................................. I UNIDADE 
TESTE DE MATEMATICA
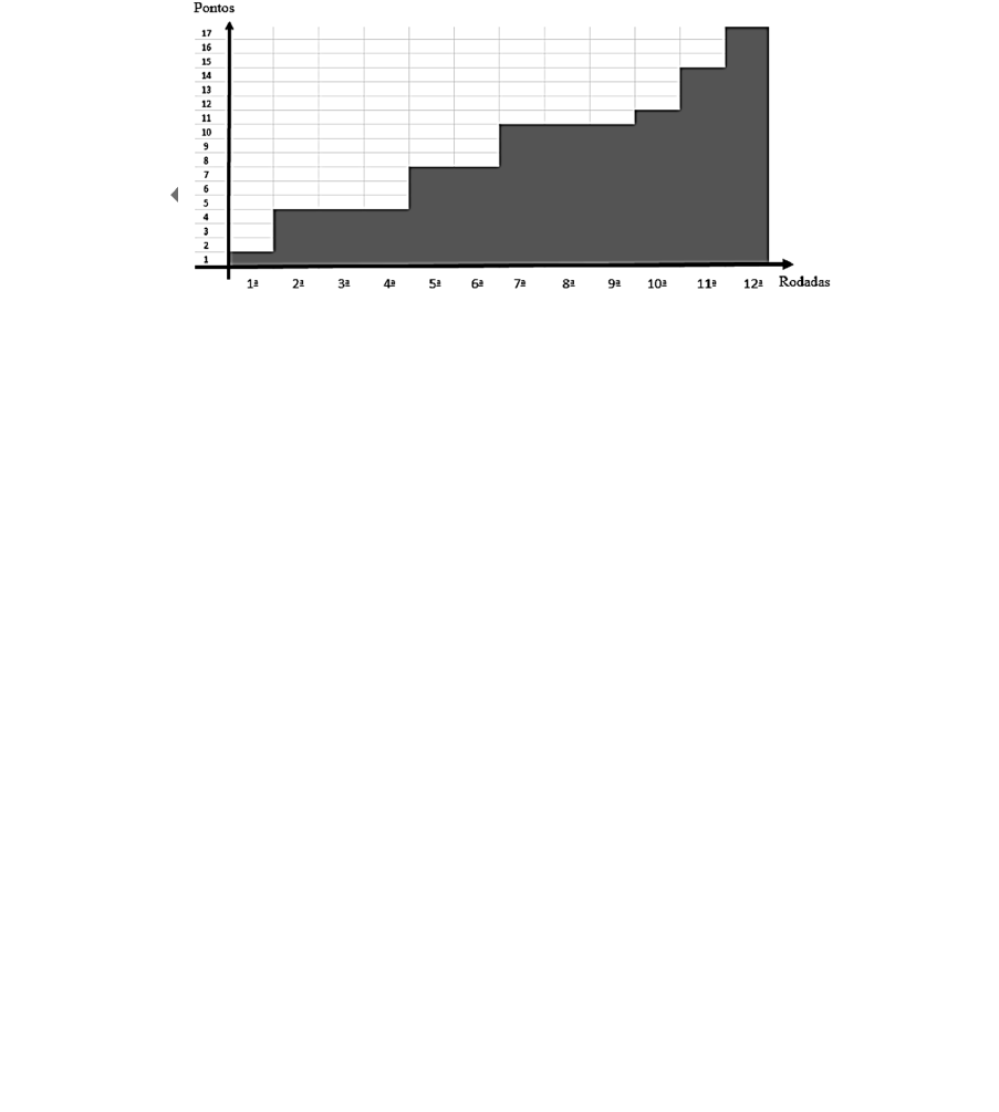
1) O gráfico mostra o número de pontos de uma equipe de futebol nas 12 primeiras rodadas de um campeonato. Sabendo que, nesse campeonato, em caso de vitória a equipe soma três pontos, em caso de empate soma um ponto e em caso de derrota não soma ponto, assinale a alternativa correta.
a) A equipe perdeu os jogos da segunda, terceira e quarta rodadas.
b) Nas doze rodadas, o número de vitórias foi igual ao número de derrotas.
c) A média de pontos obtidos por rodada, nessas doze rodadas, é igual a 1,5 pontos.
d) A equipe conseguiu dois empates entre a sétima e a nona rodadas.
e) Nas doze rodadas, a equipe empatou três vezes.
2) Dos números abaixo, marque aquele que possui uma raiz quadrada exata.
A) 600 B) 215 C) 144 D) 110 E) 70
3) O valor da expressão algébrica a seguir é:
√4+√16 – √25 ×√9
A) – 9.
B) – 6.
C) – 5. 
D) – 4.
E) – 2.
4) O valor da expressão numérica a seguir é:
A) 2
B) 3
C) 4
D) 5
E) 6
image1.png
image2.png

Mais conteúdos dessa disciplina