Logo Passei Direto
Buscar

MAPA - ESOFT - ESTATÍSTICA - 53_2024

User badge image
Laine Boss

em

Ferramentas de estudo

Material
páginas com resultados encontrados.
páginas com resultados encontrados.

Prévia do material em texto

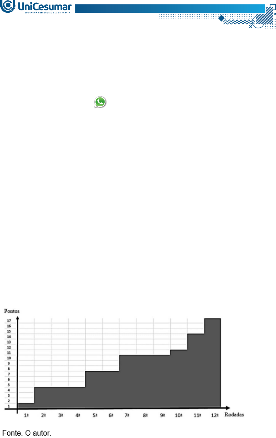
<p>Olá, aluno(a)! Está com dificuldade ou sem tempo para elaborar</p><p>esse MAPA? Iremos te ajudar!</p><p>Entre em contato</p><p>(63) 99129-5554</p><p>MAPA – ESOFT – ESTATÍSTICA - 53_2024</p><p>Olá, acadêmico(a)! Esta é a proposta de atividade M.A.P.A., ou seja, Material de Avaliação</p><p>Prática da Aprendizagem. Nesta atividade, nosso objetivo é proporcionar uma experiência</p><p>relacionada à análise de gráficos</p><p>Já havia pensado sobre a relevância da análise de gráficos na área de tecnologia e de que</p><p>forma ela pode trazer vantagens para profissionais de tecnologia?</p><p>O advento da era da informação trouxe consigo certo grau de complexidade que foi</p><p>tomando conta do cenário das empresas ao longo do tempo, sendo cada vez mais</p><p>necessária a presença da tecnologia. Os jogos de computador têm evoluído de forma a</p><p>trazer uma maior experiência de interatividade aos usuários. Atualmente, alguns jogos já</p><p>possibilitam formas de interação com ambientes virtuais criados a partir de ambientes reais</p><p>ou por meio da Realidade Aumentada. Esses novos recursos fornecem aos usuários uma</p><p>ressignificação dos espaços onde, agora, passam a participar ativamente do jogo.</p><p>Fonte: adaptado de</p><p>https://revista.fatectq.edu.br/interfacetecnologica/article/download/342/213. Acesso em: 29</p><p>maio 2023</p><p>Sobre a relação entre tecnologia e jogos, observe o gráfico a seguir (confira também a</p><p>imagem no link: https://shre.ink/lfxj):</p><p>No gráfico, constam as rodadas e as pontuações que João, um estudante do curso de</p><p>Engenharia de Software, teve em um campeonato de jogos de videogames. Na partida em</p><p>que João ganhou, foram somados três pontos; na partida em que João empatou, foi</p><p>somado um ponto; e, na partida em que João perdeu, foi somado 0 ponto. Com base nas</p><p>informações e no gráfico anterior, responda</p><p>a) Quantas partidas teve o campeonato?</p><p>b) Qual é o número de partidas em que João empatou?</p><p>c) Qual é o número de partidas em que João perdeu?</p><p>d) Qual é o número de partidas em que João ganhou?</p><p>e) João mais ganhou ou mais perdeu na competição?</p><p>f) Qual é o total de pontos que João teve?</p><p>g) Qual é a média, a mediana e a moda de pontos que João teve? Apresente os cálculos e</p><p>interprete os resultados</p><p>h) Selecionando uma partida aleatoriamente. Qual é a probabilidade de, na partida</p><p>selecionada, João ter ganhado a partida?</p><p>I) É possível afirmar que João foi campeão do campeonato?</p><p>IMPORTANTE:</p><p>1. Acesse o link com um vídeo tutorial para ajudá-lo nesse processo de criação e</p><p>desenvolvimento. O acesso deverá ser realizado em: Materiais >> Material da Disciplina</p><p>2. Responda a atividade seguindo como roteiro os tópicos elencados anteriormente.</p><p>3. A entrega deve ser feita exclusivamente por meio do Template de entrega da atividade</p><p>MAPA disponível no material da disciplina.</p><p>4. Antes de enviar sua atividade, certifique-se de que respondeu a todas as perguntas e</p><p>realize uma cuidadosa correção ortográfica.</p><p>5. Após o envio não são permitas alterações, ou modificações. Logo, você tem apenas uma</p><p>chance de enviar o arquivo corretamente. Revise bem antes de enviar!</p><p>6. Lembre-se que evidências de cópias de materiais, incluindo de outros acadêmicos, sem</p><p>devidas referências serão inquestionavelmente zeradas. As citações e referências, mesmo</p><p>que do livro da disciplina, devem ser realizadas conforme normas da Instituição de Ensino.</p><p>7. Não são permitidas correções parciais no decorrer do módulo, ou seja, o famoso:</p><p>“professor veja se minha atividade está certa?”. Isso invalida seu processo avaliativo.</p><p>Lembre-se que a interpretação da atividade também faz parte da avaliação.</p><p>8. Procure sanar suas dúvidas junto a mediação em tempo hábil sobre o conteúdo exigido</p><p>na atividade, de modo que consiga realizar sua participação.</p><p>9. Atenção ao prazo de entrega, evite envio de atividade em cima do prazo. Você pode ter</p><p>algum problema com internet, computador, software, etc. e os prazos não serão</p><p>flexibilizados, mesmo em caso de comprovação.</p><p>Bons estudos!</p><p>Em caso de dúvidas, encaminhar mensagem ao seu Professor(a) Mediador(a)</p>