Logo Passei Direto
Buscar
Material
páginas com resultados encontrados.
páginas com resultados encontrados.
left-side-bubbles-backgroundright-side-bubbles-background

Crie sua conta grátis para liberar esse material. 🤩

Já tem uma conta?

Ao continuar, você aceita os Termos de Uso e Política de Privacidade

left-side-bubbles-backgroundright-side-bubbles-background

Crie sua conta grátis para liberar esse material. 🤩

Já tem uma conta?

Ao continuar, você aceita os Termos de Uso e Política de Privacidade

left-side-bubbles-backgroundright-side-bubbles-background

Crie sua conta grátis para liberar esse material. 🤩

Já tem uma conta?

Ao continuar, você aceita os Termos de Uso e Política de Privacidade

Prévia do material em texto

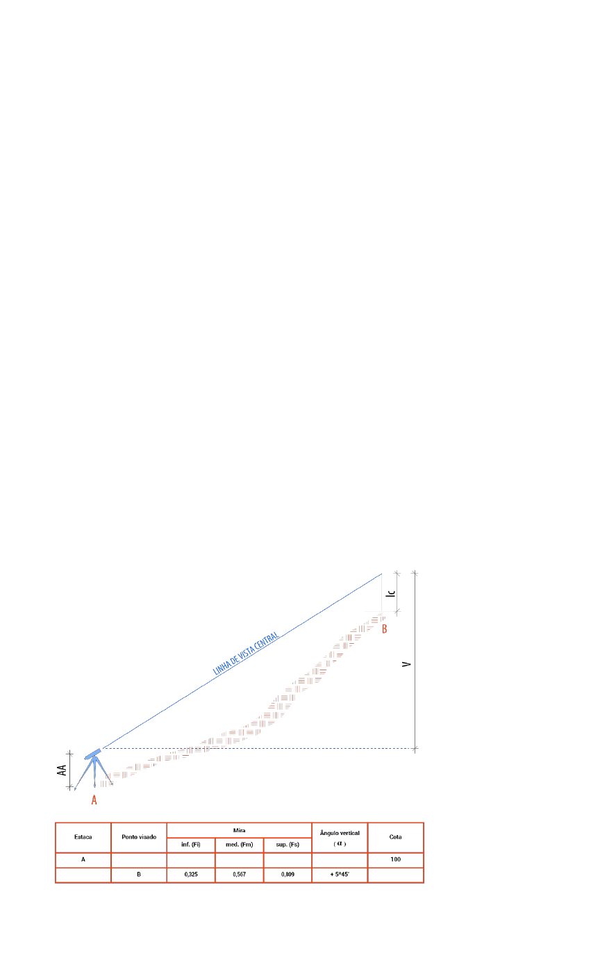
<p>Apresentação</p><p>Como estudado nos capítulos anteriores, os medidores eletrônicos de distancias (MEDs) são aplicados amplamente para se encontrar os valores de ângulos e distancias de um determinado ponto.</p><p>Esses valores servem para que se possam calcular corretamente os pontos da poligonal, porém, nem sempre podemos utilizar os métodos diretos, seja por falta de recursos ou outro. A então a necessidade de operações que auxiliam no cálculo do levantamento topográfico.</p><p>Nesta Unidade de aprendizagem, você vai estudar alguns desses medidores de distancias indiretas e as formulas para os cálculos de distancias e ângulos.</p><p>Bons estudos.</p><p>Ao final desta Unidade de Aprendizagem, você deve apresentar os seguintes aprendizados:</p><p>· Diferenciar métodos diretos de métodos indiretos de medição de distâncias.</p><p>· Identificar os processos de obtenção de distâncias e diferenças de nível com o uso de taqueômetros.</p><p>· Reconhecer os erros mais comuns em campo nas medições diretas.</p><p>Desafio</p><p>Você precisa medir a cota e a distância horizontal de um ponto em cima de um morro de forma indireta.</p><p>Observe a figura abaixo e a tabela de dados.</p><p>Calcular a distância horizontal entre A e B e a cota de B, Sabendo que a distância AA é a altura medida com uma trena da altura, que está o seu teodolito i = 1,420m, e que Fm representa o seu alvo.</p><p>Lembre-se que:</p><p>distância horizontal = g (Mira superior -Mira inferior).cos (angulo vertical)</p><p>V = g/2 x (Mira superior -Mira inferior).sen (2 x angulo vertical)</p><p>Lembre-se também que as relações são trigonométricas e, portanto, se dão em triângulos</p><p>Padrão de resposta esperado</p><p>m = Fs - Fi = 0,809 - 0,325 = 0,484</p><p>D = m . g . cos2a</p><p>D = 0,484 . 100. cos25o45'</p><p>D = 47,92m</p><p>V = (m . g . (sen(2a))/2 ) + i - alvo</p><p>V = 0,484 . 100 . 0,0997 + 1,42 - 0,567 + cota A</p><p>V = 105,678m</p><p>Infográfico</p><p>Pelo método indireto, as distâncias são obtidas por meio de visadas ou pelas coordenadas de suas extremidades. Veja a seguir os instrumentos utilizados neste método:</p><p>Na prática</p><p>Veja a seguir como o uso do teodolito coexiste com as estações totais, instrumento moderno de medição eletrônica.</p><p>image1.png</p><p>image2.png</p><p>image3.png</p>

Mais conteúdos dessa disciplina