

Cadastre-se ou realize login
Ao continuar, você aceita os Termos de Uso e Política de Privacidade
Prévia do material em texto
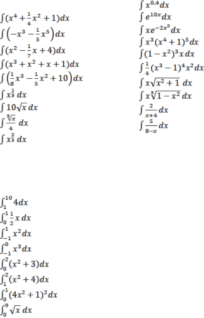
<p>LISTA DE EXERCÍCIOS 02 - INTEGRAIS</p><p>01) Resolver as seguintes integrais indefinidas:</p><p>a)</p><p>b)</p><p>c)</p><p>d)</p><p>e)</p><p>f)</p><p>g)</p><p>h)</p><p>i)</p><p>j)</p><p>k)</p><p>l)</p><p>m)</p><p>n)</p><p>o)</p><p>p)</p><p>q)</p><p>r)</p><p>s)</p><p>02) Resolver as seguintes integrais definidas:</p><p>a)</p><p>b)</p><p>c)</p><p>d)</p><p>e)</p><p>f)</p><p>g)</p><p>h)</p>