Logo Passei Direto
Buscar
Material
páginas com resultados encontrados.
páginas com resultados encontrados.
left-side-bubbles-backgroundright-side-bubbles-background

Crie sua conta grátis para liberar esse material. 🤩

Já tem uma conta?

Ao continuar, você aceita os Termos de Uso e Política de Privacidade

left-side-bubbles-backgroundright-side-bubbles-background

Crie sua conta grátis para liberar esse material. 🤩

Já tem uma conta?

Ao continuar, você aceita os Termos de Uso e Política de Privacidade

Prévia do material em texto

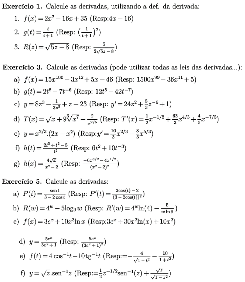
LISTA DE EXERCÍCIOS 1 – REVISÃO PARA A PROVA
 
LISTA DE EXERCÍCIOS 1 – REVISÃO PARA A PROVA
 
image4.png
image1.png
image2.png
image3.png

Mais conteúdos dessa disciplina