Logo Passei Direto
Buscar

Aula 06 - Conjunções Subordinativas - Parte II

User badge image
samuel calebe

em

Ferramentas de estudo

Material
páginas com resultados encontrados.
páginas com resultados encontrados.

Prévia do material em texto

FOCUSCONCURSOS.COM.BR
Língua Portuguesa | Material de Apoio 
Professor Pablo Jamilk. 
Conjunções subordinativas adverbiais
Olá, guerreiro! As conjunções subordinativas adverbiais são importantes, 
pois costumam aparecer em várias questões de concurso público. É preciso que você 
saiba reconhecer o sentido de cada conjunção ou locução conjuntiva. Isso ajuda 
muito na hora de fazer permuta (troca de elementos nas sentenças). 
b). Adverbiais: 
– Apresentam uma circunstância de natureza adverbial.
– Introduzem uma ORAÇÃO SUBORDINADA ADVERBIAL.
Comparação Didática 
• Período Simples:
– Neste dia fatídico, ele abandonou a esposa.
• Período Composto:
– Quando se cansou daquilo, ele abandonou a esposa.
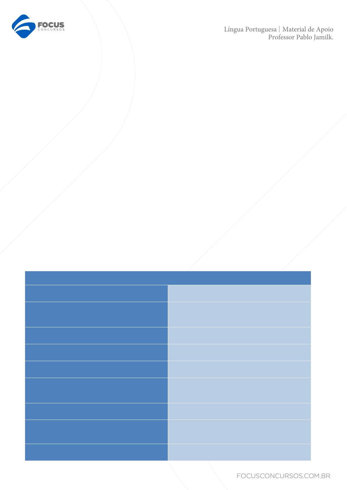
Tabela de conjunções 
Veja uma tabela com as conjunções subordinativas, para que você 
consiga estudar e decorar esses elementos: 
Categoria Conjunções 
Causal: Já que, como, porque uma vez que 
Comparativa: Como, mais (do) que, menos (do) que, 
tanto quanto, tal que. 
Condicional: Caso, se, contanto, desde que. 
Consecutiva: Tanto que, de modo que, de sorte que. 
Conformativa: Conforme, consoante, segundo. 
Concessiva: Embora, ainda que, mesmo que, 
conquanto, apesar de que. 
Final: Para que, a fim de que, porque. 
Proporcional: À medida que, à proporção que, ao 
passo que. 
Temporal: Quanto, sempre que, logo que, mal. 
1
FOCUSCONCURSOS.COM.BR
Língua Portuguesa | Material de Apoio 
Professor Pablo Jamilk. 
Vamos aos exemplos! É preciso que você anote todas as análises para 
compreender a fundamentação dos conteúdos! 
• Já que houve consenso, tudo ficou bem.
• Meu aluno estuda como quem quer passar.
• Caso ele venha, avise sobre as dificuldades.
• Cesário investiu seu dinheiro tanto que montou uma bela empresa.
• A empregada limpou a casa conforme a patroa pediu.
• Embora não pareça ser possível, estudarei todos os dias.
• Fez as revisões para que não perdesse o foco.
• João ficava extenuado à medida que levantava os pesos.
• Assim que a vimos, decidimos ajudar.
2

Mais conteúdos dessa disciplina