Logo Passei Direto
Buscar

Ferramentas de estudo

Questões resolvidas

Material
páginas com resultados encontrados.
páginas com resultados encontrados.
details

Libere esse material sem enrolação!

Craque NetoCraque Neto

Ao continuar, você aceita os Termos de Uso e Política de Privacidade

details

Libere esse material sem enrolação!

Craque NetoCraque Neto

Ao continuar, você aceita os Termos de Uso e Política de Privacidade

details

Libere esse material sem enrolação!

Craque NetoCraque Neto

Ao continuar, você aceita os Termos de Uso e Política de Privacidade

details

Libere esse material sem enrolação!

Craque NetoCraque Neto

Ao continuar, você aceita os Termos de Uso e Política de Privacidade

Questões resolvidas

Prévia do material em texto

Evandro Guedes e Pedro Canezin
357357
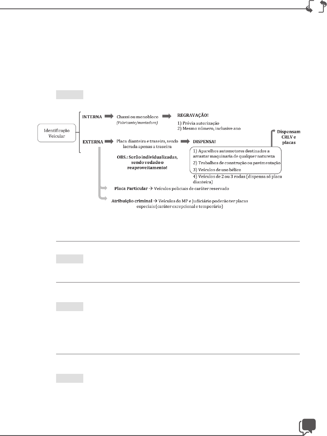
330. 330. (Cespe) Com relação à identificação do veículo, marque a alternativa correta: 
a) O veículo será identificado externamente por meio de placas dianteira e traseira, sendo esta lacrada em sua estrutura, 
obedecidas as especificações e modelos estabelecidos pelo CONTRAN. 
b) Os caracteres das placas serão individualizados para cada veículo e o acompanharão até a baixa do registro, sendo permi-
tido seu reaproveitamento para outro veículo. 
c) Os aparelhos automotores destinados a puxar ou arrastar maquinaria de qualquer natureza ou a executar trabalhos agríco-
las e de construção ou de pavimentação não necessitam de registro e licenciamento da repartição competente. 
d) Os veículos de duas ou três rodas não são dispensados da placa dianteira. 
Gabarito: A.
Para entender melhor, analise o seguinte esquema:
Previsão legal contida no Art. 115 do CTB:
Art. 115. O veículo será identificado externamente por meio de placas dianteira e traseira, sendo esta lacra-
da em sua estrutura, obedecidas as especificações e modelos estabelecidos pelo CONTRAN.
331. 331. (Cespe) Veículo automotor, ônibus e veículo particular são possíveis classificações para os veículos. 
Gabarito: Certo.
Veículo automotor refere-se quanto à tração; ônibus refere-se quanto à espécie (passageiros); e particular 
quanto à categoria (Art. 96, CTB).
332. 332. (Cespe) Como forma de proteger os passageiros, o CTB proíbe que estes sejam transportados, em qualquer hipótese, em 
veículos destinados ao transporte de cargas. 
Gabarito: Errado.
É possível transportar passageiros em veículos de carga quando houver as adaptações regulamentadas 
pelo CONTRAN.
Art. 108. Onde não houver linha regular de ônibus, a autoridade com circunscrição sobre a via poderá au-
torizar, a título precário, o transporte de passageiros em veículo de carga ou misto, desde que obedecidas 
as condições de segurança estabelecidas neste Código e pelo CONTRAN.
333. 333. (Cespe) Aparelhos automotores destinados a puxar ou arrastar maquinaria de qualquer natureza ou a executar trabalhos agrícolas 
e de construção ou pavimentação não serão submetidos a registro e licenciamento, mesmo que lhes seja facultado trafegar nas vias. 
Gabarito: Errado.
O Art. 115, § 4º, cita que os aparelhos automotores destinados a puxar ou a arrastar maquinaria de qual-
quer natureza ou a executar trabalhos de construção ou de pavimentação são sujeitos ao registro na 
repartição competente, se transitarem em via pública, dispensados o licenciamento e o emplacamento. 
358358
Questões Comentadas
Além disso, o § 4º-A complementa afirmando que os tratores e demais aparelhos automotores destina-
dos a puxar ou a arrastar maquinaria agrícola ou a executar trabalhos agrícolas, desde que facultados a 
transitar em via pública, são sujeitos ao registro único, sem ônus, em cadastro específico do Ministério da 
Agricultura, Pecuária e Abastecimento, acessível aos componentes do Sistema Nacional de Trânsito.
334. 334. (Cespe) O uso do cinto de segurança é obrigatório para condutor e passageiros: 
a) Nas vias locais, salvo em situações regulamentadas pelo CONTRAN Conselho Nacional de Trânsito. 
b) Nas vias de trânsito rápido, salvo em situações regulamentadas pelo CONTRAN. 
c) Nas vias arteriais, salvo em situações regulamentadas pelo CONTRAN. 
d) Nas vias coletoras, salvo em situações regulamentadas pelo CONTRAN. 
e) Em todas as vias do território nacional, salvo em situações regulamentadas pelo CONTRAN. 
Gabarito: E.
É obrigatório o uso do cinto de segurança para condutor e passageiros em todas as vias do território 
nacional, salvo em situações regulamentadas pelo CONTRAN. Vale instar que as exceções para o uso do 
cinto estão previstas no Art. 1º, inciso IV da Resolução 14/98 do CONTRAN. 
Art. 1º (...)
IV) cinto de segurança: 
a) para os passageiros, nos ônibus e micro-ônibus produzidos até 1º de janeiro de 1999; 
b) até 1º de janeiro de 1999, para o condutor e tripulantes, nos ônibus e micro-ônibus; 
c) para os veículos destinados ao transporte de passageiros, em percurso que seja permitido viajar em pé.
335. 335. (Cespe) O uso do cinto de segurança por passageiros com doze anos de idade é: 
a) opcional nas cidades e obrigatório nas rodovias. 
b) opcional, em qualquer situação. 
c) obrigatório no banco dianteiro e opcional no traseiro. 
d) obrigatório em qualquer situação. 
e) obrigatório, apenas se os cintos forem de três pontos.
Gabarito: D.
Por se tratar de criança com 12 anos, o transporte poderá ocorrer no banco dianteiro, sem nenhum proble-
ma, desde que esteja com o devido cinto de segurança. 
336. 336. (UPENET) Quanto à classificação dos veículos, pode-se afirmar que são veículos: 
a) de passageiros, dentre outros: a motocicleta, o caminhão, a caminhonete. 
b) de carga, dentre outros: a motocicleta, o caminhão, o carro de mão. 
c) de passageiros, dentre outros: o trator de esteira, a bicicleta, a motoneta. 
d) de competição, dentre outros: a bicicleta, a motoneta, o ônibus. 
e) quanto à categoria, apenas os oficiais, os de representação diplomática, os particulares e os de aluguel.
Gabarito: B.
A: Errada. Os caminhões não são veículos de passageiros.
B: Certa. Percebe-se que a motocicleta pode ser classificada tanto como de passageiro, bem como de 
carga, a depender do contexto, porém não ao mesmo tempo.
C: Errada. O trator de esteira não é considerado veículo de passageiros.
D: Errada. Nenhum dos veículos citados são de competição.
E: Errada. ainda falta os veículos de aprendizagem.
Evandro Guedes e Pedro Canezin
359359
337. 337. (Cespe) O Código de Trânsito Brasileiro estabelece como equipamento de segurança obrigatório para veículo de carga com peso 
bruto total superior a quatro mil quinhentos e trinta e seis quilogramas: 
I. Cinto de segurança. 
II. Registrador instantâneo inalterável de velocidade e tempo. 
III. Gerador de imagens por intermédio da captação de sinais eletromagnéticos. 
IV. Dispositivo destinado ao controle da emissão de gases poluentes e de ruído. 
Estão corretos apenas os itens: 
a) I, II, IV. 
b) II, III, IV. 
c) I, III, IV. 
d) II, III. 
e) I, IV. 
Gabarito: A.
O único dispositivo não obrigatório, entre os citados, é o dispositivo gerador de imagens, visto que, em 
se tratando de detectores de ondas eletromagnéticas, como as televisões, são é admitido em veículos 
automotores, como regra, a não ser que seja no banco traseiro para os passageiros. 
Art. 105. São equipamentos obrigatórios dos veículos, entre outros a serem estabelecidos pelo CONTRAN: 
I - cinto de segurança, conforme regulamentação específica do CONTRAN, com exceção dos veículos 
destinados ao transporte de passageiros em percursos em que seja permitido viajar em pé; 
II - para os veículos de transporte e de condução escolar, os de transporte de passageiros com mais de dez 
lugares e os de carga com peso bruto total superior a quatro mil, quinhentos e trinta e seis quilogramas, 
equipamento registrador instantâneo inalterável de velocidade e tempo; 
V - dispositivo destinado ao controle de emissão de gases poluentes e de ruído, segundo normas estabe-
lecidas pelo CONTRAN.
338. 338. (FCC) Quanto à tração, os veículos classificam-se em: automotor, elétrico, de propulsão humana, de tração animal e: 
a) utilitário. 
b) ciclomotor. 
c) reboque ou semirreboque. 
d) triciclo. 
e) caminhão-trator.
Gabarito: C.
De acordo com Art. 96, os veículos classificam-se em: 
I - quanto à tração: 
a) automotor; 
b) elétrico; 
c) de propulsão humana; 
d) de tração animal; 
e) reboque ou semirreboque.
339. 339. (FCC – Adaptada) O artigo 105 do Código de Trânsito Brasileiro especifica como equipamentos obrigatórios dos veículos, entre 
outros a serem estabelecidos pelo CONTRAN: 
1. Cinto de segurança, conforme regulamentação específica do CONTRAN, com exceção dos veículos destinados ao transporte de 
passageiros em percursos em que seja permitido viajar em pé.
2. Encosto de cabeça, para todos os tipos de veículosautomotores, segundo normas estabelecidas pelo CONTRAN. 
3. Dispositivo destinado ao controle de emissão de gases poluentes e de ruído, segundo normas estabelecidas pelo CONTRAN. 
360360
Questões Comentadas
4. Freios ABS, conforme regulamentação do CONTRAN, em todos os veículos fabricados a partir de 2005. 
Assinale a alternativa correta. 
a) As afirmativas 1, 2, 3 e 4 são verdadeiras. 
b) Somente as afirmativas 1, 2 e 3 são verdadeiras. 
c) Somente as afirmativas 1 e 3 são verdadeiras. 
d) Somente a afirmativa 1 é verdadeira. 
e) Somente as afirmativas 3 e 4 são verdadeiras. 
Gabarito: B.
O Art. 105, nos incisos I, III e V estabelece justamente o citado pela questão. Como foi remetida apenas a 
ideia do CTB acerca dos equipamentos obrigatórios, não há que se falar em ABS, apesar de hoje já ser um 
equipamento obrigatório (desde 2014). 
340. 340. (Cespe) No caso de fabricação artesanal ou de modificação de veículo, ou, ainda, quando ocorrer substituição de equipamento 
de segurança especificado pelo fabricante, qual dos documentos abaixo será exigido para licenciamento e registro do veículo? 
a) Certificado de Segurança Veicular expedido por instituição técnica credenciada por órgão ou entidade de metrologia legal, 
conforme norma elaborada pelo CONTRAN. 
b) Liberação Provisória expedida pelo órgão competente − DETRAN – para transitar com o veículo. 
c) Comprovante de pagamento de taxa para modificação de características ou fabricação artesanal, conforme norma esta-
belecida pelo DETRAN. 
d) Fotografia da alteração do veículo, conforme norma estabelecida pela Prefeitura do Município. 
e) Documento do fabricante ou modificador, descrevendo o veículo ou a modificação, com fotos, e declarando, sob as penas 
da lei, que o veículo está apto para rodar. 
Gabarito: A.
Sempre que alterações significativas nas características do veículo, será obrigatória a emissão do novo 
CSV pelo órgão executivo de trânsito dos estados ou entidade conveniada. 
Art. 106. No caso de fabricação artesanal ou de modificação de veículo ou, ainda, quando ocorrer subs-
tituição de equipamento de segurança especificado pelo fabricante, será exigido, para licenciamento e 
registro, certificado de segurança expedido por instituição técnica credenciada por órgão ou entidade de 
metrologia legal, conforme norma elaborada pelo CONTRAN.
341. 341. (Cespe) Os veículos de transporte de carga e os coletivos de passageiros deverão conter, em local facilmente visível, inscrição 
indicativa de: 
a) comprimento total, altura, largura e peso bruto total. 
b) altura, lotação, tara e peso bruto total combinado ou capacidade máxima de tração. 
c) tara, peso bruto total, peso bruto total combinado ou capacidade máxima de tração e lotação. 
d) potência, lotação e peso bruto total. 
e) lotação, tara, largura, comprimento e altura
Gabarito: C.
O Art. 117 do CTB regulamentou a questão de informações relevantes (CMT, PBTC, PBT e lotação) em 
diversos tipos de veículos como os de transporte de carga e coletivo de passageiros. O tema também foi 
abordado pela Resolução nº 290/08. 
Art. 117. Os veículos de transporte de carga e os coletivos de passageiros deverão conter, em local facil-
mente visível, a inscrição indicativa de sua tara, do peso bruto total (PBT), do peso bruto total combinado 
(PBTC) ou capacidade máxima de tração (CMT) e de sua lotação, vedado o uso em desacordo com sua 
classificação.

Mais conteúdos dessa disciplina