Logo Passei Direto
Buscar
Material
páginas com resultados encontrados.
páginas com resultados encontrados.

Prévia do material em texto

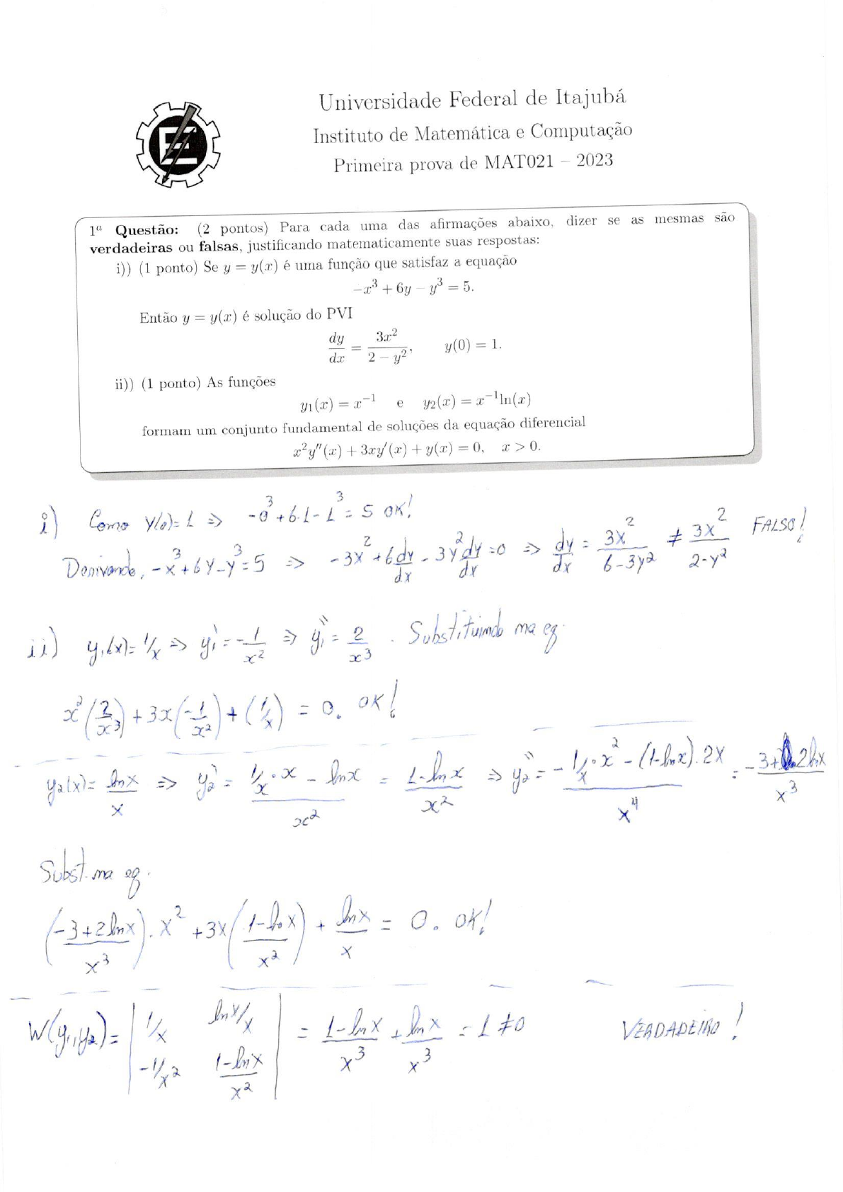
Universidade Federal de Itajubá Instituto de Matemática e Computação Primeira prova de MAT021 2023 Questão: (2 pontos) Para cada uma das afirmações abaixo, dizer se as mesmas são verdadeiras ou falsas, justificando matematicamente suas respostas: i)) (1 ponto) Se y = y(x) é uma função que satisfaz a equação Então y = y(x) é solução do PVI ii)) (1 ponto) As funções formam um conjunto fundamental de soluções da equação diferencial i) Como OK! 2 2 dy # 3X FALSO! ii) + = = : X 4 + Inx = O. = + = ! -1/x22 Questão: (3 pontos) Considere um tanque com capacidade de 100 litros. O tanque contém originalmente 50 litros de água com uma solução de 50 gramas de sal. Está entrando no tanque, a uma taxa de 1 litros por minuto, água contendo 6 gramas de sal por litro, e permite-se que a solução bem misturada saia do tanque a uma taxa de 2 litros por minuto. Pergunta-se: i) (0.5 pontos) Descreva Problema de Valor Inicial que descreve este fluxo. ii) (1 ponto) Determine a quantidade de sal no tanque em qualquer instante de tempo (em minutos). iii) (0.5 pontos) Após 10 minutos tanque estará vazio? Justifique matematicamente sua resposta. iv) (1 pontos) No instante t = 20 minutos a quantidade de sal presente no tanque é máxima? Justifique matematicamente sua resposta. 100l i) do 50l+50g dt 50-t -2 ii) + Q 6 E.D.O 0 integrante = 50-t + = 300 + 1/10 Z iii) A cada 10 assim am 10 tongue 40 FALSO! t=20 5 10 Em um a de am3 Questão: (2,5 pontos) Considere a seguinte equação diferencial ordinária (EDO). (1) i) (1 ponto) A equação (1) é exata? Se sim, a resolva, caso contrário justifique sua resposta e vá para item ii). ii) (1,5 pontos) Se a equação (1) não é exata, fator integrante (x,y) = y torna a equação (1) exata? Se sim, a resolva, caso contrário, justifique matematicamente sua resposta. i) dx " + -y dy # M=+y l N= ii) + l My=+ + 2y = Nx is 2 = h(y)= =4 Questão: (2,5 pontos) Encontre a solução geral da equação diferencial + = 3 a da Solução do Fundamental) y,(t)= = & -t uma particular de usand Super - Subst. - -4A-4B+5A=3 = l = Solução + + 17 3 17 12

Mais conteúdos dessa disciplina