Logo Passei Direto
Buscar

1 (228)

User badge image
Raquel

em

Ferramentas de estudo

Material
páginas com resultados encontrados.
páginas com resultados encontrados.

Prévia do material em texto

220          CHAPTER 7           
 
expect E1 and SN1 processes. One of the alkene 
products is trisubstituted, so we expect the E1 pathway to 
predominate. For the E1 pathway, two regiochemical 
outcomes are possible. The base is not sterically 
hindered, so the more-substituted alkene is the major 
product, as shown: 
 
 
 
(e) The reagent is tert-butoxide, which is a strong, 
sterically hindered base. The substrate is secondary so 
we expect E2 processes to predominate (SN2 is highly 
disfavored because of steric interactions). There are two 
 positions bearing protons, so two regiochemical 
outcomes are possible. Since the base is sterically 
hindered, the major product is the less-substituted 
alkene: 
I
t-BuOK
 
 
(f) The reagent is methoxide, which is both a strong base 
and a strong nucleophile. The substrate is tertiary, so we 
expect an E2 process. There are three  positions, but 
two of them are identical, so there are two possible 
regiochemical outcomes. The more-substituted alkene 
is the major product, as shown. 
 
 
 
(g) The reagent is tert-butoxide, which is a strong, 
sterically hindered base. The substrate is tertiary, so we 
expect an E2 process. There are three  positions, but 
two of them are identical, so there are two possible 
regiochemical outcomes. Since the base is sterically 
hindered, we expect that the less-substituted alkene will 
be the major product, as shown. 
 
 
 
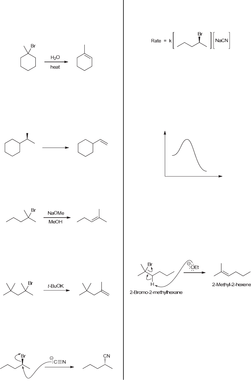
7.78. 
(a) A polar aprotic solvent is used, and the reaction 
occurs with inversion of configuration. These factors 
indicate an SN2 process. 
In an SN2 process, nucleophilic attack and loss of the 
leaving group occur in a concerted fashion (in one step), 
as shown below. 
 
 
(b) Since the reaction is an SN2 process, we expect a 
second-order rate equation that is linearly dependent on 
both the concentration of the substrate and the 
concentration of the nucleophile. 
 
 
 
(c) The rate of an SN2 reaction is linearly dependent on 
the concentration of the nucleophile. As such, if the 
concentration of the nucleophile (cyanide) is doubled, 
the reaction rate is expected to double. 
 
(d) As seen in the solution to part (a) of this problem, 
the reaction occurs via an SN2 process, which is 
comprised of one concerted step (in which the 
nucleophile attacks with simultaneous loss of the leaving 
group). As such, the energy diagram will have only one 
maximum (only one hump). 
 
E
Reaction coordinate 
 
7.79. 
(a) The reagent (ethoxide) is a strong base, and the 
substrate is tertiary, so the reaction must proceed via an 
E2 process. Three curved arrows are required. The tail 
of the first curved arrow is placed on a lone pair of the 
base (ethoxide) and the head is placed on the proton that 
is removed. The tail of the second curved arrow is 
placed on the C–H bond that is breaking, and the head 
shows formation of the  bond. The third curved arrow 
shows loss of the leaving group (bromide), as shown 
here. 
 
 
(b) For an E2 process, the rate is dependent on the 
concentrations of the substrate and the base: 
 
Rate = k [substrate] [base] 
 
(c) The rate of an E2 reaction is linearly dependent on 
the concentration of the base. As such, if the 
concentration of base is doubled, the rate will be 
doubled. 
(d) The mechanism has one step, so the energy diagram 
must have only one maximum (only one hump). The 
www.MyEbookNiche.eCrater.com

Mais conteúdos dessa disciplina