Logo Passei Direto
Buscar
Material
páginas com resultados encontrados.
páginas com resultados encontrados.
left-side-bubbles-backgroundright-side-bubbles-background

Crie sua conta grátis para liberar esse material. 🤩

Já tem uma conta?

Ao continuar, você aceita os Termos de Uso e Política de Privacidade

left-side-bubbles-backgroundright-side-bubbles-background

Crie sua conta grátis para liberar esse material. 🤩

Já tem uma conta?

Ao continuar, você aceita os Termos de Uso e Política de Privacidade

left-side-bubbles-backgroundright-side-bubbles-background

Crie sua conta grátis para liberar esse material. 🤩

Já tem uma conta?

Ao continuar, você aceita os Termos de Uso e Política de Privacidade

left-side-bubbles-backgroundright-side-bubbles-background

Crie sua conta grátis para liberar esse material. 🤩

Já tem uma conta?

Ao continuar, você aceita os Termos de Uso e Política de Privacidade

Prévia do material em texto

Atenção: 
- Leia a prova atentamente
- Responda as questões nos espaços destinados a elas
- A resposta final deve estar à caneta
- Respostas sem as correspondentes unidades de medida não serão consideradas
 
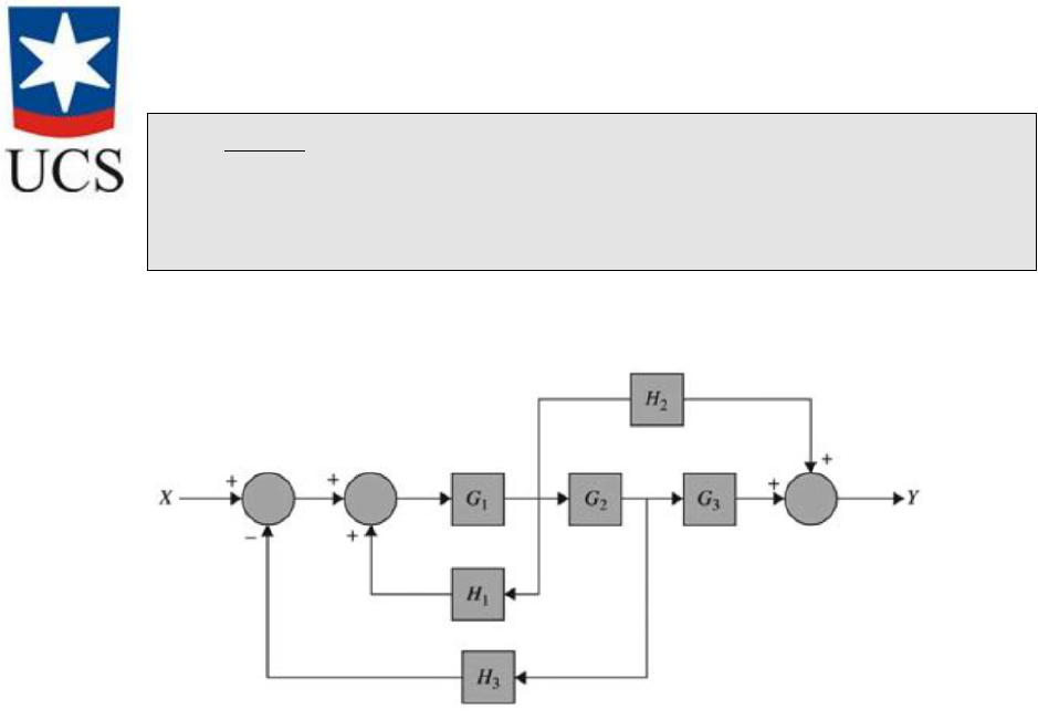
1) Simplifique o diagrama de blocos a seguir e obtenha Y(s)/X(s). (3 pontos)
UNIVERSIDADE DE CAXIAS DO SUL
Prova I
AUT0236D – Controle de Sistemas Dinâmicos
NOME:
Atenção: 
- Leia a prova atentamente
- Responda as questões nos espaços destinados a elas
- A resposta final deve estar à caneta
- Respostas sem as correspondentes unidades de medida não serão consideradas
 
2) (PROVÃO-Eng. Elétrica, 1999) Necessita-se fazer a modelagem matemática de um processo
desconhecido, cujos dados e condições de experimento constam de um relatório. O processo está
representado na figura a seguir:
Para uma entrada u(t) do tipo degrau unitário, obteve-se a saída y(t), como mostram a tabela abaixo e
o gráfico da página seguinte, ambos extraídos desse relatório.
Assim sendo, encontre a função de transferência G(s), de menor ordem, que representa o processo. 
(3 pontos)
UNIVERSIDADE DE CAXIAS DO SUL
Prova I
AUT0236D – Controle de Sistemas Dinâmicos
NOME:
Atenção: 
- Leia a prova atentamente
- Responda as questões nos espaços destinados a elas
- A resposta final deve estar à caneta
- Respostas sem as correspondentes unidades de medida não serão consideradas
 
UNIVERSIDADE DE CAXIAS DO SUL
Prova I
AUT0236D – Controle de Sistemas Dinâmicos
NOME:
Atenção: 
- Leia a prova atentamente
- Responda as questões nos espaços destinados a elas
- A resposta final deve estar à caneta
- Respostas sem as correspondentes unidades de medida não serão consideradas
 
 
3) Considere o sistema mecânico a seguir:
Considerando o modelo do referido sistema em Laplace sendo:
X (s )
F(s)
= 1
Ms2+bs+k
 
Com M=2kg, b=54kg/s e k=100kg/s2
a) Determine as constantes de tempo τ1, τ2 e o ganho DC. (1,5 pontos) 
b) Qual a constante de tempo dominante (0,5 pontos)? O sistema pode ser aproximado por uma
dinâmica de 1a. ordem? Em caso afirmativo, defina-o. (1 ponto) 
(Total item b):1,5 pontos)
c) Obtenha a função temporal do erro gerado pela aproximação considerando F(t) um degrau unitário.
(1 ponto)
(Total da questão: 4 pontos)
UNIVERSIDADE DE CAXIAS DO SUL
Prova I
AUT0236D – Controle de Sistemas Dinâmicos
NOME:

Mais conteúdos dessa disciplina