Logo Passei Direto
Buscar
Material
páginas com resultados encontrados.
páginas com resultados encontrados.

Prévia do material em texto

AÇÕES DA GASTRINA, SECRETINA E INSULINA 
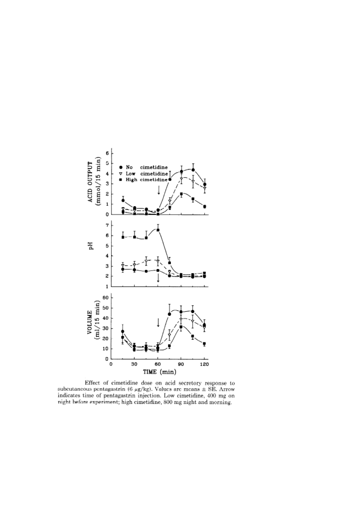
 Foram analisadas amostras de 48 indivíduos, os quais foram divididos em 
grupos de 12 para permitir uma análise estatística adequada. Neste teste, 2 grupos foram 
tratados com cimetidina – low cimetidine = receberam 400 mg na noite anterior ao 
experimento e high cimetidine = 800 mg na noite anterior ao experimento e 800 mg na 
manhã do experimento. Obs . pentagastrina é um análogo da gastrina. Amostras foram 
coletadas em intervalos de 15 minutos até completar 2horas. 
! 
! 
INJEÇÃO SUBCUTANEA DE INSULINA 
! 
INJEÇÃO ENDOVENOSA DE INSULINA 
1. Como a secreção ácida gástrica pode ser estimulada? 
2. Qual a relação entre a insulina e a secreção ácida gástrica? 
3. Por que a velocidade do efeito da pentagastrina é diferente do efeito da insulina? 
4. Por que se observa diferenças nos resultados quando se compara os efeitos da 
insulina administrada por via subcutânea e endovenosa? 
5. Quais os potenciais efeitos colaterais do uso da cimetidina? Explique 
6. Qual o efeito adverso mais importante no experimento com insulina? Seria 
possível controlar esses efeitos? 
OUTRO EXPERIMENTO- COM CÃES. 
! 
1) Descreva brevemente os efeitos sobre a secreção ácida gástrica: 
1. Infusão intravenosa de gastrina 
2. Administração intravenosa de secretina na presença da gastrina 
3. Adição de ácido no duodeno na presença secretina intravenosa 
2) Qual é a condição fisiológica que mimetiza a infusão de ácido no duodeno, 
representada no gráfico por “HCl”? Qual o objetivo de incluir este grupo experimental? 
3) Com base nos dados apresentados, qual seria o mecanismo pelo qual a secretina 
regula a secreção ácida gástrica? 
! 
4)Descreva brevemente os efeitos sobre a secreção ácida gástrica: 
1) Infusão intravenosa de histamina 
2) Administração intravenosa de secretina na presença da histamina 
Adição de ácido no duodeno na presença de histamina intravenosa

Mais conteúdos dessa disciplina