Logo Passei Direto
Buscar

Ferramentas de estudo

Questões resolvidas

A isomeria é um fenômeno em que dois ou mais compostos orgânicos diferentes possuem a mesma fórmula molecular, mas se diferenciam por algum aspecto em sua fórmula estrutural. Existem dois tipos básicos de isomeria: plana (ou constitucional) e espacial (ou estereoisomeria).
Conceitue, classifique e exemplifique isomeria.

Faculdade Estácio de Carapicuíba | Av. Francisco Pignatari, 630 - Carapicuíba/SP
Determine por qual grupo orgânico os seguintes medicamentos são formados: Ácido salicílico, Benorilato, Benzilpenicilina, Ibuprofeno.
A) Ácido carboxílico
B) amina
C) amida
D) hidroxiácido

Dessa forma, as diferentes indicações das formas sódica e potássica do diclofenaco, se devem somente à tecnologia farmacêutica (forma de liberação do fármaco) empregada: forma de liberação imediata: é empregada principalmente como analgésico, pois o comprimido sofre desintegração e dissolução do fármaco no estômago, produzindo início de ação mais rápido e maior pico de concentração plasmática; forma de liberação retardada ou prolongada: é empregada, principalmente, em processos inflamatórios e uso prolongado, pois, o comprimido libera o fármaco de forma mais lenta, produzindo ação prolongada e menor pico de concentração plasmática.
Quais são as diferenças estruturais entre a molécula de diclofenaco de potássio e a de diclofenaco de sódio?

Quais são as diferenças estruturais entre a molécula de morfina e de heroína?
Heroína: Amina terciária, éster, Éter
Morfina: Álcool, éter, amina e fenol.

Material
páginas com resultados encontrados.
páginas com resultados encontrados.
left-side-bubbles-backgroundright-side-bubbles-background

Crie sua conta grátis para liberar esse material. 🤩

Já tem uma conta?

Ao continuar, você aceita os Termos de Uso e Política de Privacidade

left-side-bubbles-backgroundright-side-bubbles-background

Crie sua conta grátis para liberar esse material. 🤩

Já tem uma conta?

Ao continuar, você aceita os Termos de Uso e Política de Privacidade

left-side-bubbles-backgroundright-side-bubbles-background

Crie sua conta grátis para liberar esse material. 🤩

Já tem uma conta?

Ao continuar, você aceita os Termos de Uso e Política de Privacidade

Questões resolvidas

A isomeria é um fenômeno em que dois ou mais compostos orgânicos diferentes possuem a mesma fórmula molecular, mas se diferenciam por algum aspecto em sua fórmula estrutural. Existem dois tipos básicos de isomeria: plana (ou constitucional) e espacial (ou estereoisomeria).
Conceitue, classifique e exemplifique isomeria.

Faculdade Estácio de Carapicuíba | Av. Francisco Pignatari, 630 - Carapicuíba/SP
Determine por qual grupo orgânico os seguintes medicamentos são formados: Ácido salicílico, Benorilato, Benzilpenicilina, Ibuprofeno.
A) Ácido carboxílico
B) amina
C) amida
D) hidroxiácido

Dessa forma, as diferentes indicações das formas sódica e potássica do diclofenaco, se devem somente à tecnologia farmacêutica (forma de liberação do fármaco) empregada: forma de liberação imediata: é empregada principalmente como analgésico, pois o comprimido sofre desintegração e dissolução do fármaco no estômago, produzindo início de ação mais rápido e maior pico de concentração plasmática; forma de liberação retardada ou prolongada: é empregada, principalmente, em processos inflamatórios e uso prolongado, pois, o comprimido libera o fármaco de forma mais lenta, produzindo ação prolongada e menor pico de concentração plasmática.
Quais são as diferenças estruturais entre a molécula de diclofenaco de potássio e a de diclofenaco de sódio?

Quais são as diferenças estruturais entre a molécula de morfina e de heroína?
Heroína: Amina terciária, éster, Éter
Morfina: Álcool, éter, amina e fenol.

Prévia do material em texto

Faculdade Estácio de Carapicuíba | Av. Francisco Pignatari, 630 - Carapicuíba/SP
Estudo dirigido de Química farmacêutica - revisão de química orgânica
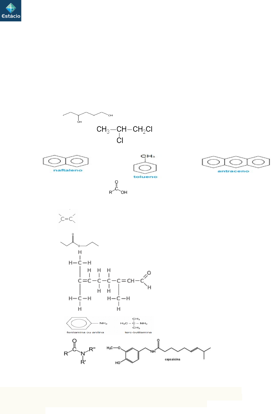
1. Dê o conceito, apresente a fórmula e cite 3 exemplos (nome e estrutura) dos seguintes grupos orgânicos:
a. Hidrocarbonetos CH3 – CH2 – CH2 – CH2 – CH3 A função mais simples da química orgânica é formada pelos hidrocarbonetos, compostos formados, como o próprio nome sugere, somente por  (C) e  (H).
b. Álcool 
c. Haleto de alquila 
d. Compostos aromáticos 
e. Ácido carboxílico 
f. Éter 
g. Ester 
h. Cetona 
i. Amina 
j. Amida 
2. Conceitue, classifique e exemplifique isomeria.
A isomeria é um fenômeno em que dois ou mais compostos orgânicos diferentes possuem a mesma fórmula molecular, mas se diferenciam por algum aspecto em sua fórmula estrutural. Existem dois tipos básicos de isomeria: plana (ou constitucional) e espacial (ou estereoisomeria).
3. Determine por qual grupo orgânico os seguintes medicamentos são formados:
	a. Ácido salicílico 
	b. Benorilato
	c. Benzilpenicilina
	d. Ibuprofeno
A) Ácido carboxílico B) amina C) amida D)hidroxiacido
4. Quais são as diferenças estruturais entre a molécula de diclofenaco de potássio e a de diclofenaco de sódio?
Dessa forma, as diferentes indicações das formas sódica e potássica do diclofenaco, se devem somente à tecnologia farmacêutica (forma de liberação do fármaco) empregada:
a) forma de liberação imediata: é empregada principalmente como analgésico, pois o comprimido sofre desintegração e dissolução do fármaco no estômago, produzindo início de ação mais rápido e maior pico de concentração plasmática;
b) forma de liberação retardada ou prolongada: é empregada, principalmente, em processos inflamatórios e uso prolongado, pois, o comprimido libera o fármaco de forma mais lenta, produzindo ação prolongada e menor pico de concentração plasmática.
5. Quais são as diferenças estruturais entre a molécula de morfina e de heroína?
Heroína Morfina
 
 
 Amina terciaria , éster,Éter Álcool,éter,amina e fenol.

Mais conteúdos dessa disciplina