Logo Passei Direto
Buscar
Material
páginas com resultados encontrados.
páginas com resultados encontrados.
left-side-bubbles-backgroundright-side-bubbles-background

Crie sua conta grátis para liberar esse material. 🤩

Já tem uma conta?

Ao continuar, você aceita os Termos de Uso e Política de Privacidade

left-side-bubbles-backgroundright-side-bubbles-background

Crie sua conta grátis para liberar esse material. 🤩

Já tem uma conta?

Ao continuar, você aceita os Termos de Uso e Política de Privacidade

Prévia do material em texto

ATIVIDADE
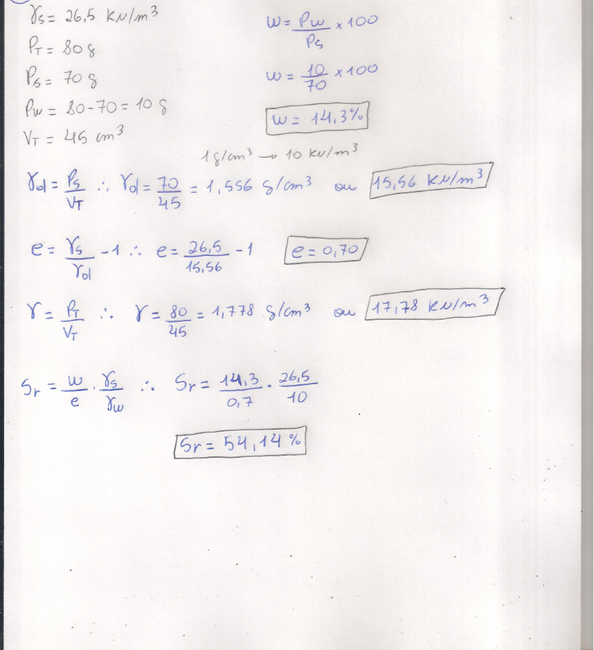
 Uma amostra quartzosa típica tem 45 cm3 quando está úmida e pesa 80g. Depois de secada em estufa pesa 70g. Supondo um γs = 26,5 kN/m3, calcule w, Sr, e, γ, γd.
A porosidade de uma areia é de 37% e o peso específico das partículas sólidas é igual a 26,5 kN/m3. Pede−se determinar: a) O seu índice de vazios; b) O seu peso específico seco; c) O seu peso específico quando Sr = 50% e d) O seu peso específico saturado.

Mais conteúdos dessa disciplina