Logo Passei Direto
Buscar

Análise Matemática - Prova Final Discursiva

Material
páginas com resultados encontrados.
páginas com resultados encontrados.
left-side-bubbles-backgroundright-side-bubbles-background

Experimente o Premium!star struck emoji

Acesse conteúdos dessa e de diversas outras disciplinas.

Libere conteúdos
sem pagar

Ajude estudantes e ganhe conteúdos liberados!

left-side-bubbles-backgroundright-side-bubbles-background

Experimente o Premium!star struck emoji

Acesse conteúdos dessa e de diversas outras disciplinas.

Libere conteúdos
sem pagar

Ajude estudantes e ganhe conteúdos liberados!

Prévia do material em texto

Acadêmico:
	
	
	Disciplina:
	Análise Matemática (MAT27)
	Avaliação:
	Avaliação Final (Discursiva) - Individual FLEX 
	Prova:
	
	Nota da Prova:
	-
	
	
Parte superior do formulário
	1.
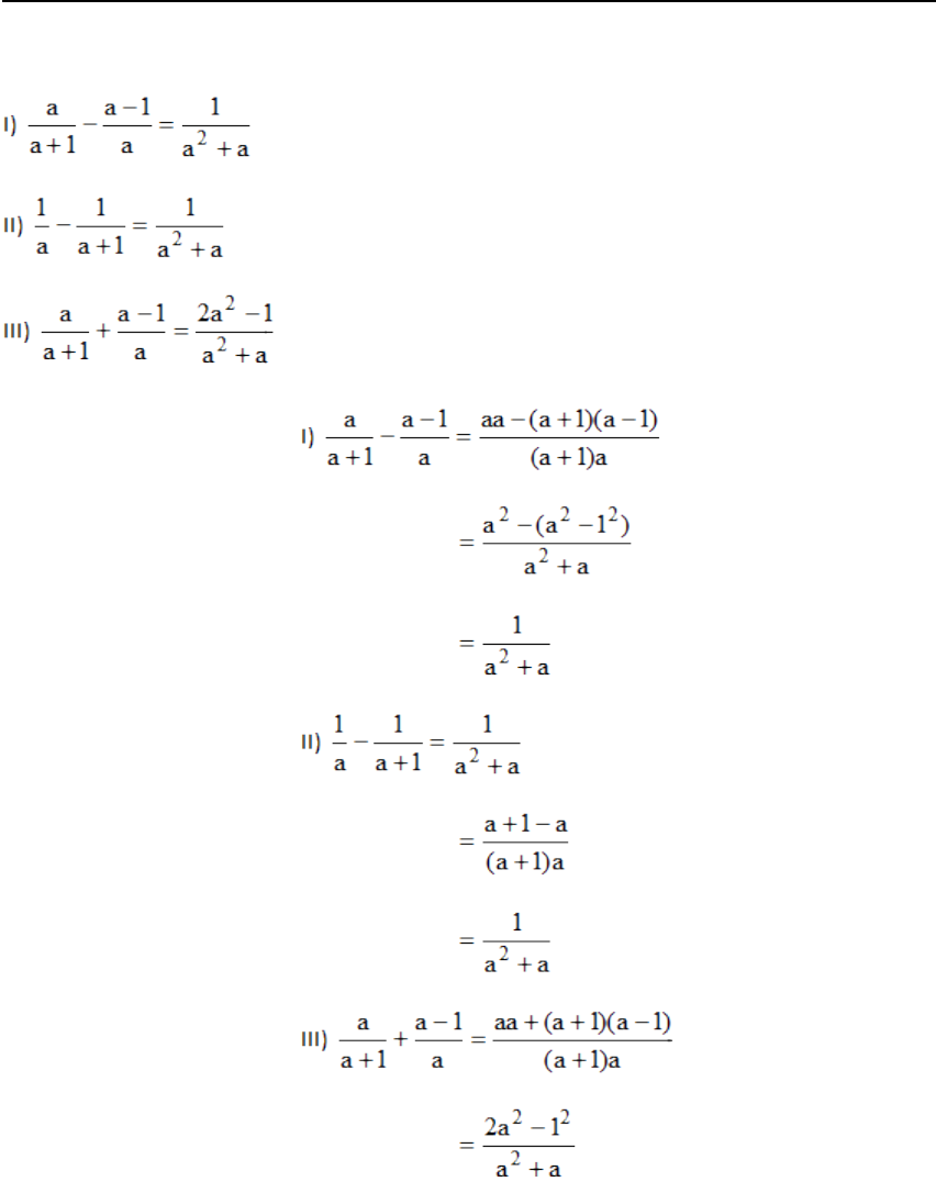
	No conjunto dos números racionais, todos os números podem ser escritos na forma de fração. Utilizando as propriedades habituais de adição e subtração de frações, prove que:
	
	Resposta Esperada:
Observe o gabarito a seguir:
	2.
	Dizemos que dois números, x e y, têm a mesma paridade quando ambos são pares (x e y são pares) ou ambos são ímpares (x e y são ímpares). Considere x e y números inteiros com a mesma paridade. Mostre que x + y é par.
	Resposta Esperada:
Resolução esperada:
Parte inferior do formulário

Mais conteúdos dessa disciplina