Logo Passei Direto
Buscar

Exercicíos de MUV - 1° Ano - Aula 05

User badge image
Andrey Maciel

em

Ferramentas de estudo

Questões resolvidas

Um passageiro anotou, a cada minuto, a velocidade indicada pelo velocímetro do táxi em que viajava; o resultado foi 12 km/h, 18 km/h, 24 km/h e 30 km/h.
Pode-se afirmar que:
a) o movimento do carro é uniforme;
b) a aceleração média do carro é de 6 km/h, por minuto;
c) o movimento do carro é retardado;
d) a aceleração do carro é 6 km/h2;
e) a aceleração do carro é 0,1 km/h, por segundo.

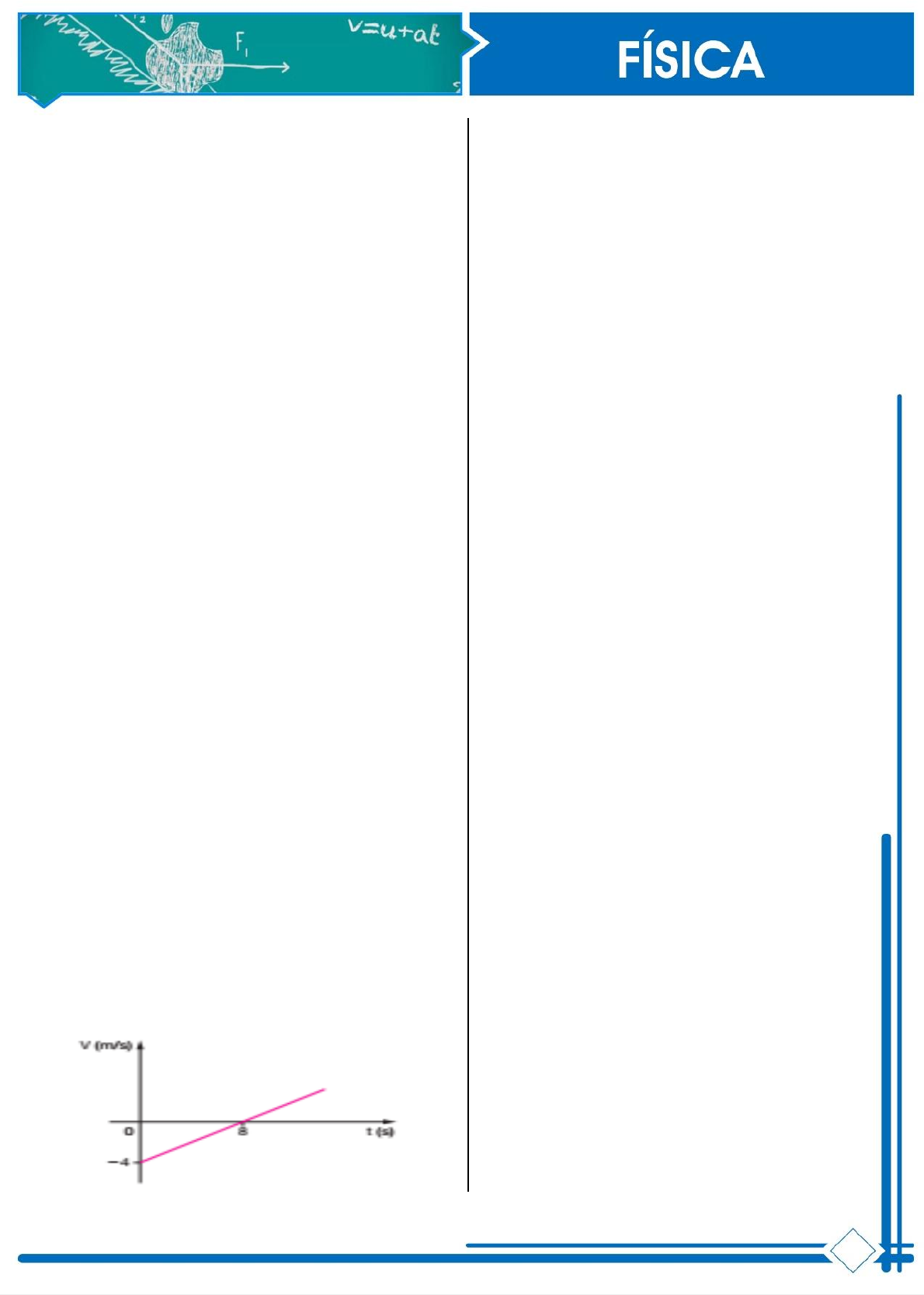
Uma partícula em movimento retilíneo desloca-se de acordo com a equação v = -4 + t, onde v representa a velocidade escalar em m/s e t, o tempo em segundos, a partir do instante zero.
O deslocamento dessa partícula no intervalo (0 s, 8 s) é:
a) 24 m
b) zero
c) 2 m
d) 4 m
e) 8 m

Um corpo é abandonado de uma altura de 20 m num local onde a aceleração da gravidade da Terra é dada por g = 10 m/s2.
Desprezando o atrito, o corpo toca o solo com velocidade:
a) igual a 20 m/s.
b) nula.
c) igual a 10 m/s.
d) igual a 20 km/h.
e) igual a 15 m/s.

Um corpo é lançado verticalmente para cima com uma velocidade inicial de v0=30 m/s. Sendo g=10 m/s2 e desprezando a resistência do ar qual será a velocidade do corpo 2,0 s após o lançamento?
a) 20 m/s
b) 10 m/s
c) 30 m/s
d) 40 m/s
e) 50 m/s

Em relação ao exercício anterior, qual é a altura máxima alcançada pelo corpo?


a) 90 m
b) 135 m
c) 270 m
d) 360 m
e) 45 m

Um corpo é abandonado a 80m do solo. Sendo g = 10m/s² e o corpo estando livre de forças dissipativas, determine o instante e a velocidade que o móvel possui ao atingir o solo.

Material
páginas com resultados encontrados.
páginas com resultados encontrados.
left-side-bubbles-backgroundright-side-bubbles-background

Crie sua conta grátis para liberar esse material. 🤩

Já tem uma conta?

Ao continuar, você aceita os Termos de Uso e Política de Privacidade

Questões resolvidas

Um passageiro anotou, a cada minuto, a velocidade indicada pelo velocímetro do táxi em que viajava; o resultado foi 12 km/h, 18 km/h, 24 km/h e 30 km/h.
Pode-se afirmar que:
a) o movimento do carro é uniforme;
b) a aceleração média do carro é de 6 km/h, por minuto;
c) o movimento do carro é retardado;
d) a aceleração do carro é 6 km/h2;
e) a aceleração do carro é 0,1 km/h, por segundo.

Uma partícula em movimento retilíneo desloca-se de acordo com a equação v = -4 + t, onde v representa a velocidade escalar em m/s e t, o tempo em segundos, a partir do instante zero.
O deslocamento dessa partícula no intervalo (0 s, 8 s) é:
a) 24 m
b) zero
c) 2 m
d) 4 m
e) 8 m

Um corpo é abandonado de uma altura de 20 m num local onde a aceleração da gravidade da Terra é dada por g = 10 m/s2.
Desprezando o atrito, o corpo toca o solo com velocidade:
a) igual a 20 m/s.
b) nula.
c) igual a 10 m/s.
d) igual a 20 km/h.
e) igual a 15 m/s.

Um corpo é lançado verticalmente para cima com uma velocidade inicial de v0=30 m/s. Sendo g=10 m/s2 e desprezando a resistência do ar qual será a velocidade do corpo 2,0 s após o lançamento?
a) 20 m/s
b) 10 m/s
c) 30 m/s
d) 40 m/s
e) 50 m/s

Em relação ao exercício anterior, qual é a altura máxima alcançada pelo corpo?


a) 90 m
b) 135 m
c) 270 m
d) 360 m
e) 45 m

Um corpo é abandonado a 80m do solo. Sendo g = 10m/s² e o corpo estando livre de forças dissipativas, determine o instante e a velocidade que o móvel possui ao atingir o solo.

Prévia do material em texto

Exercícios de Revisão de Conteúdo 
Prof.: Andrey Maciel 
 
01 - (UEPG-PR) Um passageiro anotou, a cada minuto, 
a velocidade indicada pelo velocímetro do táxi em que 
viajava; o resultado foi 12 km/h, 18 km/h, 24 km/h e 
30 km/h. Pode-se afirmar que: 
a) o movimento do carro é uniforme; 
b) a aceleração média do carro é de 6 km/h, por 
minuto; 
c) o movimento do carro é retardado; 
d) a aceleração do carro é 6 km/h2; 
e) a aceleração do carro é 0,1 km/h, por segundo. 
 
02 - (Unimep-SP) Uma partícula parte do repouso e em 
5 segundos percorre 100 metros. Considerando o 
movimento retilíneo e uniformemente variado, 
podemos afirmar que a aceleração da partícula é de: 
a) 8 m/s2 
b) 4 m/s2 
c) 20 m/s2 
d) 4,5 m/s2 
e) Nenhuma das anteriores 
 
03 - (MACK-SP) Uma partícula em movimento retilíneo 
desloca-se de acordo com a equação v= - 4 + t, onde v 
representa a velocidade escalar em m/s e t, o tempo 
em segundos, a partir do instante zero. O 
deslocamento dessa partícula no intervalo (0 s, 8 s) é: 
a) 24 m 
b) 2 m 
c) 8 m 
d) zero 
e) 4 m 
 
04 - Uma partícula parte do repouso e em 5 segundos 
percorre 100 metros. Considerando o movimento 
retilíneo e uniformemente variado, podemos afirmar 
que a aceleração da partícula é de: 
a) 8 m/s2 
b) 4 m/s2 
c) 20 m/s2 
d) 4,5 m/s2 
e) Nenhuma das anteriores 
 
05 - O gráfico representa a velocidade escalar de um 
corpo, em função do tempo 
 
De acordo com o gráfico, o módulo da aceleração 
desse corpo, em metros por segundo ao quadrado, é 
igual a: 
a) 0,50 c) 8,0 e)16,0 
b) 4,0 d) 12,0 
 
06 - Um corpo é abandonado de uma altura de 20 m 
num local onde a aceleração da gravidade da Terra é 
dada por g 10 m/s2. Desprezando o atrito, o corpo toca 
o solo com velocidade: 
a) igual a 20 m/s d) igual a 20 km/h 
b) nula e) igual a 15 m/s 
c) igual a 10 m/s 
 
07 - Uma bola é lançada de uma torre, para baixo. A 
bola não é deixada cair mas, sim, lançada com uma 
certa velocidade inicial para baixo. Sua aceleração 
para baixo é (g refere-se à aceleração da gravidade): 
a) exatamente igual a g. 
b) maior do que g 
c) menor do que g. 
d) inicialmente, maior do que g, mas rapidamente 
estabilizando em g. 
e) inicialmente, menor do que g, mas rapidamente 
estabilizando em g. 
 
08 - Um corpo é lançado verticalmente para cima com 
uma velocidade inicial de v0=30 m/s. 
Sendo g=10 m/s2 e desprezando a resistência do ar 
qual será a velocidade do corpo 2,0 s após o 
lançamento? 
a) 20 m/s d) 40 m/s 
b) 10 m/s e) 50 m/s 
c) 30 m/s 
 
09 - Em relação ao exercício anterior, qual é a altura 
máxima alcançada pelo corpo? 
a) 90 m d) 360 m 
b) 135 m e) 45 m 
c) 270 m 
 
10 - Um corpo é abandonado a 80m do solo. Sendo g 
= 10m/s² e o corpo estando livre de forças dissipativas, 
determine o instante e a velocidade que o móvel 
possui ao atingir o solo.

Mais conteúdos dessa disciplina