Logo Passei Direto
Buscar
Material
páginas com resultados encontrados.
páginas com resultados encontrados.
left-side-bubbles-backgroundright-side-bubbles-background

Experimente o Premium!star struck emoji

Acesse conteúdos dessa e de diversas outras disciplinas.

Libere conteúdos
sem pagar

Ajude estudantes e ganhe conteúdos liberados!

Prévia do material em texto

Prova 1 de Química Orgânica 
 
 
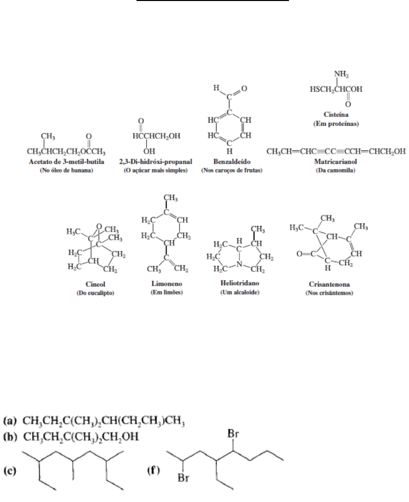
Questão 1 - Para cada um dos seguintes compostos de ocorrência natural, identifique a(s) 
classe(s) de compostos a que pertence e trace um círculo em volta de todos os grupos 
funcionais. (2,0) 
 
 
Questão 2 - Explique o tipo de hibridização apresentado pelo carbono no etano (C2H6), 
eteno (C2H4), etino (C2H2) e 1-2 propadieno (C3H4). Desenhe as moléculas destes 
hidrocarbonetos indicando os ângulos esperados de ligação e o formato geométrico da 
estrutura molecular. (2,0) 
 
Questão 3 – Dê os nomes IUPAC para cada um dos seguintes compostos: (2,0) 
 
 
 
Questão 4 - Desenhe as duas conformações do cis-1-cloro-2-metilciclohexano. Qual é 
a mais estável? Qual a menos estável? (2,0) 
 
Questão 5 – O iodo é capaz de reagir com o metano em condições propícias para 
formação de radicais, formando o iodo-metano e o iodeto de hidrogênio. Dê a equação 
geral da reação e escreva um mecanismo para este processo que inclua as etapas de 
iniciação, de propagação e de terminação. (2,0)

Mais conteúdos dessa disciplina