Logo Passei Direto
Submit Material
Sign In
Try for Free
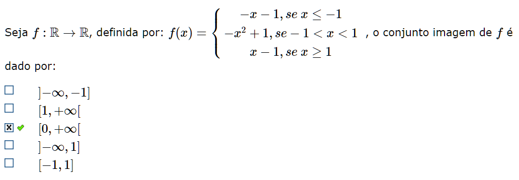
Seja fRR, definida por -x-1, se x -1 f (x) -x 1, se -1 x 1 x -1, se x 1.
Mathematics
Discrete Mathematics
ESTÁCIO
Marcio Padula
in
1/19/2022
1
0
Report
Report
Gabarito
Exercícios
Mapa mental
Resumo
Mais opções
Ferramentas de estudo
Gabarito
Exercícios
Mapa mental
Resumo
Mostrar todas
Content selected for you
5 pg.
AD1-Métodos Determinísticos 2 - 2022-2-Gabarito
CEDERJ
2 pg.
Exercícios de Matemática Discreta sobre Reticulados
UFRGS
39 pg.
parte2-final-funções
UNIP
Questions from this subject
Mesmo apos 14 anos de instituição da Lei 10.639/2003 que alterou a LDB, estudos realizados para avaliar a efetivação da norma apontaram limites e d...
100 Atividade N1 9 10 Uma estrutura para apoiar talhas é constituída por uma viga W460x52 de aço A36 engastada na extremidade A e com a extre- mida...
Harvard
2 Marcar para I Para melhorar a performance de um jogo, os desenvolvedores precisam armazenar e manipular eficientemente as posições dos personagen...
ESTÁCIO EAD
Questão 10 Sem resposta A gestão da reputação é complexa e demanda um conhecimento aprofundado sobre a empresa em si, bem como sobre o ambiente no ...
Questão 9 Sem resposta Em uma situação de gestão de crise de imagem, o posicionamento da empresa deve ser definido de forma clara e consistente a f...
Material
Study with thousands of resources!
Sign in
Content selected for you
5 pg.
AD1-Métodos Determinísticos 2 - 2022-2-Gabarito
CEDERJ
2 pg.
Exercícios de Matemática Discreta sobre Reticulados
UFRGS
39 pg.
parte2-final-funções
UNIP
Questions from this subject
Mesmo apos 14 anos de instituição da Lei 10.639/2003 que alterou a LDB, estudos realizados para avaliar a efetivação da norma apontaram limites e d...
100 Atividade N1 9 10 Uma estrutura para apoiar talhas é constituída por uma viga W460x52 de aço A36 engastada na extremidade A e com a extre- mida...
Harvard
2 Marcar para I Para melhorar a performance de um jogo, os desenvolvedores precisam armazenar e manipular eficientemente as posições dos personagen...
ESTÁCIO EAD
Questão 10 Sem resposta A gestão da reputação é complexa e demanda um conhecimento aprofundado sobre a empresa em si, bem como sobre o ambiente no ...
Questão 9 Sem resposta Em uma situação de gestão de crise de imagem, o posicionamento da empresa deve ser definido de forma clara e consistente a f...
More content from this subject
Caminho mínimo
okay
Iniciação à Aritmética (9)
Iniciação à Aritmética (15)
Iniciação à Aritmética (41)
SAP Activate Project Manager C_ACT_2403 Dumps Questions
SAP Integration Developer C_CPI_2404 Dumps Questions
Show more content
chevronDownIcon