Logo Passei Direto
Material
Study with thousands of resources!

Text Material Preview

6 
 
 PLÂNCTON PULGA-
D’ÁGUA 
PIRANHA TUIUIÚ 
a) 15,1 10,3 4,3 1,2 
b) 6,1 6,1 6,1 6,1 
c) 2,1 4,3 10,4 14,3 
d) 2,1 3,9 4,1 2,3 
e) 8,8 5,8 5,3 9,6 
 
21 - (Uerj) O organoclorado conhecido como DDT, 
mesmo não sendo mais usado como inseticida, ainda 
pode ser encontrado na natureza, em consequência de 
sua grande estabilidade. Ele se acumula em seres vivos 
pelo processo denominado de biomagnificação ou 
magnificação trófica. Foram medidas, em partes por 
milhão, as concentrações desse composto obtidas em 
tecidos de indivíduos de três espécies de um mesmo 
ecossistema, mas pertencentes a diferentes níveis 
tróficos, com resultados iguais a 15,0, 1,0 e 0,01. As 
concentrações de DDT nos tecidos dos indivíduos da 
espécie situada mais próxima da base da cadeia 
alimentar e da situada mais próxima do topo dessa 
cadeia, em gramas de DDT por 100 gramas de tecido, 
foram, respectivamente, iguais a: 
a) 1,0 . 10-3 e 1,0 . 10-5. 
b) 1,5 . 10-4 e 1,0 . 10-4. 
c) 1,0 . 10-4 e 1,5 . 10-4. 
d) 1,0 . 10-6 e 1,5 . 10-3. 
 
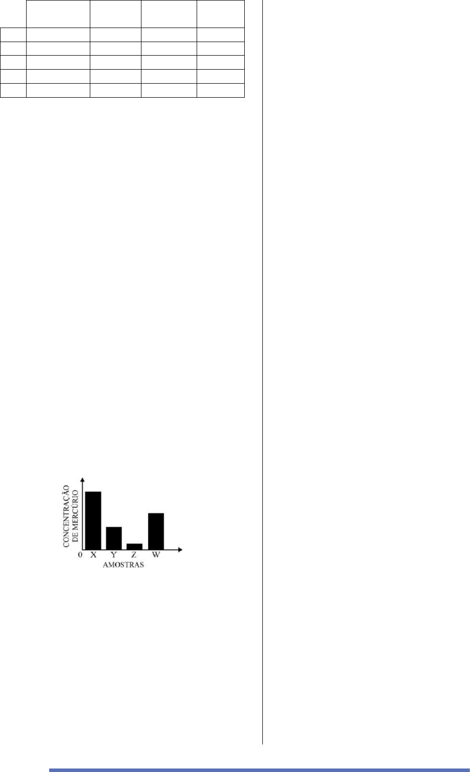
22 - (Uff) O trecho de certo rio da Amazônia, próximo a 
um garimpo de ouro, está contaminado por mercúrio. 
Nesse local, foram coletadas amostras de água, de 
peixe carnívoro, de peixe herbívoro e de mamífero 
aquático que se alimenta exclusivamente de peixes. O 
resultado da análise da concentração de mercúrio 
nessas amostras está representado no gráfico a seguir: 
 
 
Conclui-se que as amostras X, Y, Z e W correspondem, 
respectivamente, a: 
a) peixe herbívoro, mamífero aquático, peixe carnívoro 
e água. 
b) água, peixe carnívoro, mamífero aquático e peixe 
herbívoro. 
c) mamífero aquático, peixe carnívoro, água e peixe 
herbívoro. 
d) peixe carnívoro, água, peixe herbívoro e mamífero 
aquático. 
e) mamífero aquático, peixe herbívoro, água e peixe 
carnívoro. 
23 - (Enem) 
Estranha neve: 
Espuma, espuma apenas 
Que o vento espalha, bolha em baile no ar, 
Vinda do Tietê alvoroçado ao abrir de comportas, 
Espuma de dodecilbenzeno irredutível, 
Emergindo das águas profanadas do rio-bandeirante, 
hoje rio-despejo 
De mil imundícies do progresso. 
ANDRADE, C.D. Poesia e prosa. Rio de Janeiro: Nova Aguilar, 1992 
(fragmento). 
 
Nesse poema, o autor faz referência à 
a) disseminação de doenças nas áreas atingidas por 
inundações. 
b) contaminação do lençol freático pela eliminação de 
lixo nos rios. 
c) ocorrência de enchente causada pela 
impermeabilização dos solos. 
d) presença de detergentes sintéticos como agentes 
poluentes de águas. 
e) destruição de fauna e flora pela contaminação de 
bacias hidrográficas. 
 
24 - (Fip) A expressão “maré negra” aplica-se a um tipo 
de poluição dos mares. Esse tipo de poluição é 
caracterizado por: 
a) Lançamento de resíduos petrolíferos no mar 
decorrentes da exploração do pré-sal. 
b) Movimento das águas marinhas turvas decorrentes 
da poluição particulada. 
c) Deposição de grandes quantidades de enxofre nos 
oceanos e mares. 
d) Lançamento de efluentes orgânicos que se 
acumulam nas áreas de marés. 
e) Ação introdutória de substâncias nocivas de fonte 
petrolífera nos ecossistemas marinhos. 
 
 
25 - (Uece) Vazamento de petróleo desafia a tecnologia 
no Golfo do México – Robôs, drenos e dispersantes são 
usados para tentar evitar desastre. Quase um milhão 
de litros de óleo se espalha no mar por dia nos EUA. 
Disponível em: 
http://g1.globo.com/mundo/noticia/2010/05/vazamento-de-
petroleo-desafia-tecnologia-no-golfo-do-mexico.html 
 
A manchete acima relata um dos maiores acidentes 
ecológicos da história, que irá desencadear sérios 
problemas ambientais. Como consequências de uma 
catástrofe dessa natureza são apontadas: 
I. A diminuição da quantidade de oxigênio na água o 
que leva à morte por asfixia de animais como as 
baleias. 
II. A diminuição da taxa fotossintética e 
consequentemente alterações no equilíbrio das