Logo Passei Direto
Material
¡Estudia con miles de materiales!

Vista previa del material en texto

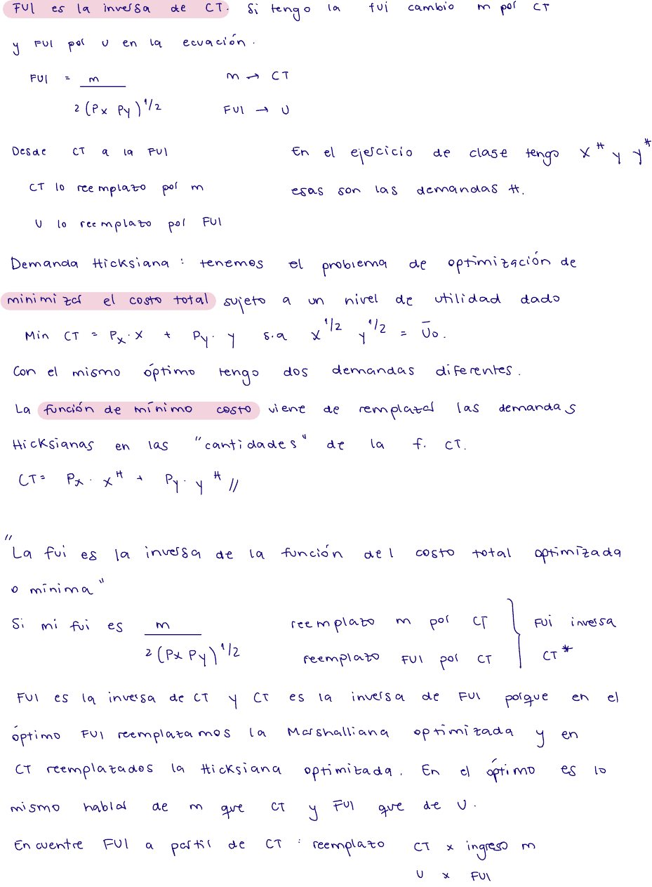
FUI es la inversa de CT Si tengo la fui cambio m por CT
y FUI por u en la ecuación
FUI m m CT
2 PxPy 12 Fui U
Desde CT a la FUI En el ejercicio de clase tengo y y
CT lo reemplazo por m esas son las demandas H
U lo reemplazo por FUI
Demanda Hicksiana tenemos el probiema de optimizaciónde
minimizar el costo total sujeto a un nivel de utilidad dado
Min CT Px X Py y g a
2
y 2 Jo
Con el mismo Óptimo tengo dos demandas diferentes
La función de mínimo costo viene de remplazar las demandas
Hicksianas en las cantidades de la f CT
Ts Pp PyoyHy
La fui es la inversa de la función del costo total Optimizada
mínima
si mi fui es m reemplazo m por 4
Pyle reemplazo µ po c FÍ
FUI es la inversa deCT y CT es la inversa de Ful porque en el
Óptimo FUI reemplazamos la Marshalliana optimizada y en
CT reemplazados la Hicksiana optimizada En el óptimo es lo
mismo hablar de m que CT y FUI que de V
Encuentre FUI a partir de CT reemplazo CT ingreso m
U x FUI
elniveldeutilidada lo
largodeestacurvano
semantieneconstante
meubicoacá
La utilidad se
Apxdisminuye lapendiente mantiene constante Jo
11 ma a ubicar
mequedoacá
acállego angemeau Fui reemplazado en
laHicksiana
primal Dual dalaMarshalliana
CTreemplazado
en laMarshalliana
dalaHicksiana
m dFUIIgp Roy Nos permite llegar de fui a la
demanda Marshalliana
yFUI
ym En su
Shepard Nos permite llegar a la demanda Hicksiana a partir de la
función de mínimo costo Ejercicio clasea
oct FUI m
2Pts
Identidad de Roy 2 PxPy 1 2 con
µ
la deriva
XM dFUI la px M y respecto a PX
dFUI 1dm 2Pa 42 px
32 2 de la
1
2PyYa
m
n
mx
2pts
L Shepard
OCT La 2 U R
2 px
Spx
42va
3 sepuedellegar a la demanda marshalliana a partir de la demanda
Hicksiana y la FUI reemplazando U FUI
4 Puedo llegar a la demanda hicksiana a partir de la demanda
marshalliana y la F Min costo reemplazando m Cr
Demandamarshaliana
disminuye el precio de un bien la Rp pendiente disminuye
os trasladamos a una curva de utilidad superior Baja el
recio y aumenta la cantidad A lo largo de la demanda
argualiana la utilidad no se mantiene constante
Demanda hicksiana
La utilidad se mantiene constante Jo Al disminuir Pr la RP
ambia Nos ubicamos en un punto con los nuevos precios
en con el mismo nivel de utilidad
Identidad de Roy
11204 puedo llegar a la demanda marsha liana con la FUI
JV es la derivada de Ful
FUIXm 8 2px FUI JFUI ypx
gm del jm
con el lema de Shepard
llego a la demanda Hicksiana con la f de mínimo costo
deriva la función de costo respecto al precio vamos de costos q
demanda Hicksiang
JCT
spx
Ambas vienen del teorema del envolvente
FUI i m M
2 PxPy 1 2
Deriva Px Í px
Roy dFUI lapx M
Zp y 42 px 3 2
2
dFUI 1dm
1
2 Py1 2 px1 2
M m
2Px
FUI reemplazado en la Hicksiana me da la Marshaliana 3
CT reemplazado en la Marshalliana me da la Hicksiana
Efecto sustitución si cambia el precio del b en como cambia
a utilidad consumida mantiene utilidad constante
si aumenta el precio disminuye cantidad consumidor
Es LO tix LX
Hayrelación con la demanda Hicksiana
Es negativo
vfecto ingreso ante cambio de precios como cambia mi poder
dquisitivo
EI 2 1 No tiene signoJm
El sentido del efeto ingreso depende del tipo del bien
Bien normal EI 30 también llamado superiol
3ien inferior EI LO
3ien neutro EI O
DMarshall ana considera ambos efectos
D Hicksiana considera solo efecto sustitución Jo
sara encontró la DMarshaIliana en el gráfico del bien normal
Para saber cual es más elástica tengo que ver el efecto y
el tipo de bien
A PX
puedosaltar
decurva gráficos porque
nohaynivelde utilidad
fija
BienNormal EI 1 si A px iY A px Dtpoder adquisitivo 9 1Es si Apx px van enlamismadirección
Marshaliana va desde A hasta c Hicksiana va desde
Ahasta B
Marshaliana es más elástica que la Hicksiana
para bienes Normales En los distintos bienes lo que más inflige es el
efecto ingreso
BienNormal i marshalliana más elástica se demuestra
Bien inferior ansiamos más elástica en base q
Bien neutro coinciden gráficos
A
C B
La demanda Hicksiana aumenta en toda la magnitud del efecto
sustitución porque solo considera ese efecto
El efecto ingreso en los bienes inferiores al aumentar el ingreso
disminuye la cantidad consumida de los bienes inferiores
La Marshalliana en los bienes interiores considera ambos efectos
por un lado aumentó por efecto sustitución la cantidad
consumida hasta luego tenemos que de y
disminuyó la cantidad consumida
La demanda Hicksiana va a tener un aumento mayor que la
demanda Marsnaliano EI 1 Es
El punto C se ubica 0 al medio de A y B 0 bien a la izquierda
de A en un caso que el ES 30 L EI Si punto C está a la
izquierda de A el EI 7 ES
A la derecha de 13 va a ubicarse si es un bien normal eso
significa que el Es va en la misma dirección del EI
Si ante A Px el EI es 7 91 ES al A Pt 19 A cantidad
consumida va a primar eso nos da una demanda con pendiente
positiva Demanda con pendiente positiva es cuando el El 2 ES
10 supera pasamos el punto A esos son bienes Giffen
Bienes neutros las elasticidades de las demandas coinciden
Como el electo ingreso en los bienes neutros coinciden ambas
demandas
Ecuación de Slutsky
Explica todo lo anterior matemáticamente Relación 4
parte del supuesto que si reemplazo CT en la Hicksiana obtengo
DMarshalliana
Xt Px Py u XM Px Py CTCPx.py.li
IX 211M DXM
spx Spx JCT 2Pts
Demanda Hicksiana Lema Shepard
Shepard y reemplazo m por CT
gps
M itZX JXM iz X.la
Spx Spx dm
d
Pendiente Hicksiana t
E sustitución E ingreso es 0 porque no
negativo etiste
Si despejo
Spx
M H H2X 2X 2X Xt Marshallanos considera ambos
Jpx zp dm efectos
ET Es EI
O puede ser O O Ó D depende del bien
Elasticidad
E Precio propia de la demanda corresponde al cambio porcentual
en la cantidad demandada del bien ante un cambio
porcentual en el precio del mismo bien
M px A X thnx
A1 px Junpx
pr po dp
Po Pdpdp
Xr xa pDX
Xo
Xv
Mx px Al DX DXPxA1 p pe p X apapPo
I
en en p
den p denp 1
DX X pdp
Los divido
den DX a g a ln p
P
den
DX Pdemp dio dp M X px
P
E Cruzada de la demanda corresponde al cambio porcentual en la
cantidad demandada del bien ante un cambio porcentual en el
precio del otro bien
xpy AIX thnx Elasticidad de demanda
A Py 2LnPy
Py
dry X
EIngreso de la demanda corresponde al cambio porcentual en la
cantidad demandada del bien ante un cambio porcentual en
el ingreso
M x m D fln
A1 m 2hm m
DX m
dm
x g y E
M I
me Pj a2Pts
Para el punto de vista de Log aplico en a toda la
expresión de
M

Más contenidos de este tema