Logo Passei Direto
Material
¡Estudia con miles de materiales!

Vista previa del material en texto

Sierras Romero Katherine 
ACTIVDAD 1. 
CUESTIONARIO SOBRE TEMA DE AMINOÁCIDOS Y PROTEÍNAS 
 
1. Señale la diferencia entre proteínas, péptidos y polipétidos 
• Proteína: Son cadenas de moléculas conformadas por más de 50 AA unidos entre 
sí. 
• Péptidos: Son 2 o más AA unidos por un enlace peptídico. 
• Polipéptidos: Son cadenas de 15 hasta de 50 AA unidos entre sí. 
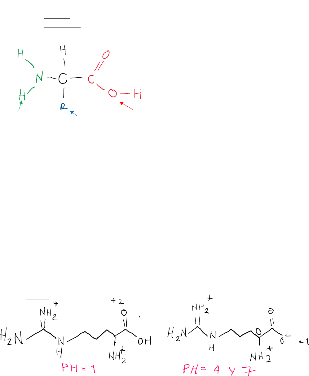
2. Dé la estructura general de un aminoácido e identifique sus partes. 
 
 
 
 
 
 
 
 
 
 
3. Clasifique los siguientes aminoácidos de acuerdo a si son polares, no polares, ácidos, 
básicos y con anillo aromático. Además, agregue su abreviación con 3 y 1 letra: glicina, 
tirosina, prolina, cisteína, asparagina, valina, triptófano, histidina, leucina, valina, ácido 
glutámico. 
• Glicina: No polar. Gly, G. 
• Tirosina: Polar, con anillo aromático. Tyr, T. 
• Prolina: No polar. Pro, P. 
• Cisteína: Polar. Cys, C. 
• Asparagina: Polar. Asp, N. 
• Valina: No polar. Val, V. 
• Triptófano: No polar, con anillo aromático. Trp, W. 
• Histidina: Básico, con anillo aromático. His, H. 
• Leucina: No polar. Leu, L. 
• Ácido Glutámico: Ácido. Glu, E. 
 
4. La arginina tiene valores de pka siguientes: pk1= 2.17, pk2=9.04, Pk3= 12.48 ¿Cuál es la 
estructura y la carga neta de la arginina a los valores de pH siguientes: 1, 4, 7, 10, 13. 
 
 
 
 
 
 
 
 
 
Amino Ácido carboxílico 
Grupo de cadena lateral 
H: átomo de hidrogeno 
C: átomo de carbono α 
Arginina 
Sierras Romero Katherine 
 
 
 
 
 
 
5. Defina los siguientes términos: 
a) Enlace peptídico 
El enlace peptídico es un enlace de tipo amida entre el grupo amino (–NH2) de un 
aminoácido (AA) y el grupo carboxilo (–COOH) de otro aminoácido. 
b) Aminoácido esencial 
El aminoácido esencial es aquel que no puede producir el cuerpo. En consecuencia, 
deben provenir de los alimentos. 
c) Anfótero 
Que actúa como ácido o como base según la sustancia con la que reacciona. 
d) Zwiteriónico 
es un compuesto eléctricamente neutro ya que posee una carga eléctrica formal 
positiva y una carga negativa sobre átomos no adyacentes dentro de la misma molécula. 
e) Punto isoeléctrico 
Es el pH al que un polianfólito tiene carga neta cero. 
f) Aminoácido hidrófobo 
aminoácidos apolares con tendencia a repeler el agua. 
 
6. Un polipéptido posee un valor pequeño de pJ. ¿Qué aminoácidos lo estarán formando? 
Lo forman los aminoácidos los que poseen un carácter ácido. 
 
7. En una proteína, ¿Qué tipo de aminoácidos se encuentran expuestos hacia afuera y por 
qué? Dé ejemplos de algunos aminoácidos. 
Los AA polares ya que estos son solubles en agua y pueden entrar en contacto con ella, 
como lo son la glicina, tirosina, cisteína, asparagina, Treonina, glutamina y serina. 
 
8. ¿Existen aminoácidos que no formen proteínas? ¿Cuántos aminoácidos forman a las 
proteínas? En caso de que haya más aminoácidos, ¿Tienen alguna función? Mencione 
ejemplos. 
Si existen AA que no forman proteínas. Son 20 aminoácidos los que conforman a las 
proteínas. La principal función de los AA es ayudar a descomponer alimentos, contribuyen 
en el crecimiento y reparación de tejidos corporales, son encargados de transmitir la 
contracción muscular y mantener el equilibrio de ácidos y bases en el organismo. 
9. ¿Cómo se forma el enlace peptídico? 
Son enlaces amidas que se forman cuando el par de electrones sin compartir del 
átomo de nitrógeno a-amino de un AA ataca al carbono a-carboxilo de otro en una 
reacción de sustitución de acilo nucleófila. 
 
10. ¿Por qué se dice que el enlace peptídico es plano y rígido? 
Porque, aunque sea un enlace sencillo, tiene características de un doble enlace, como el 
nitrógeno es menos electronegativo que el oxígeno, el enlace CO tiene 60% carácter de 
Sierras Romero Katherine 
doble, mientras que el enlace CN tiene 40% carácter de doble enlace, por lo tanto, este 
enlace tiene características intermedias entre enlace sencillo y enlace doble. Esta 
disposición atómica está estabilizada por resonancia, de forma que los 6 átomos implicados 
en la formación del enlace peptídico están contenidos en el mismo plano, que a su vez 
impide la libre rotación del enlace que une a los átomos de C y N en el enlace peptídico. 
 
11. En un péptido, ¿A qué se le denomina residuos de aminoácidos? 
A los AA que forman parte de un péptido se llaman residuos, para indicar la pérdida de una 
molécula de agua. 
 
12. Investigue sobre el número de aminoácidos, función, estructura de 3 péptidos con 
función biológica importante. 
• Oxitocina: Péptido de 9 aminoácidos. Su nombre sistemático es: Cys-Tyr-Ile-Asn-
Gln-Cys-Pro-Leu-Gly-NH2. Permite la contracción del musculo liso del útero (parto), 
secreción de dicha hormona, cuando se está con la persona que le gusta: “hormona 
del amor”, conducta maternal y paternal que actúa también como neurotransmisor 
en el cerebro. 
• Somatostatina o GHIH: Es un polipéptido de 14 aminoácidos. Forma de anillo que 
se une por un puente disulfuro formado entre dos residuos de cisteína. De forma 
indirecta regula la respuesta proporcional de insulina y glucagón, acción inhibidora 
sobre hormona de crecimiento. 
• Glucagón: Es una hormona polipeptídica de 29 aminoácidos que actúa en el 
metabolismo del glucógeno. Sus AA se unen por enlaces glucosídicos: NH2-His-Ser-
Gln-Gly-Thr-Phe-Thr-Ser-Asp-Tyr-Ser-Lys-Tyr-Leu-Asp-Ser-Arg-Arg-Ala-Gln-Asp-
Phe-Val-Gln-Trp-Leu-Met-Asn-Thr-COOH. El glucagón hace que el hígado libere la 
glucosa que tenía almacenada. El páncreas produce el glucagón y lo libera cuando 
el cuerpo necesita más glucosa porque los niveles están demasiados bajos. 
 
13. Investigue en artículos científicos qué nuevas aplicaciones se les están dando 
actualmente a algunos péptidos. NO se olvide de agregar la referencia. 
Entre las aplicaciones de la síntesis de péptidos se encuentran la de desarrollar péptidos 
de importancia médica como lo son las hormonas y las vacunas, también pueden 
sintetizarse péptidos para producir anticuerpos contra porciones específicas de 
proteínas o para modificar algunos péptidos naturales con el fin de hacerlos más estables. 
14. De acuerdo a su criterio, ¿Cuál es la importancia de las proteínas? 
Como ya hemos visto, son moléculas esenciales para el buen funcionamiento del organismo, 
y tienen diversas funciones, tanto principales como secundarias, sin duda alguna son 
sumamente necesarias para nuestro organismo y para nuestra vida. 
15. Indique 8 funciones de las proteínas y señale 3 ejemplos de cada función. 
Sierras Romero Katherine 
Función de proteínas Ejemplos 
Estructural • Colágeno: Forma fibra de 
tendones en la piel. 
• Queratina: Forma uña, pelos, 
cuernos, caparazones, 
escamas, plumas y picos. 
• Fibroína: Forma fibras en las 
telarañas, la seda de los 
gusanos. 
Hormonal • Insulina: Regula la 
concentración de glucosa en 
sangre. 
• Oxitocina: Regula la 
contracción de los músculos 
del útero durante el parto. 
• Vasopresina: Efecto 
antidiurético. 
Defensa • Trombina y Fibrinógeno: 
Contribuyen a la formación de 
coágulos sanguíneos. 
• Beta y gammaglobulina: 
Actúan como anticuerpos 
humorales. 
• Mucinas: Efecto germicida y 
protegen a las mucosas. 
Transporte • Hemoglobina: Transporta 
oxígeno en la sangre de los 
vertebrados. Hemocianina: 
Transporta oxígeno en la 
sangre de los invertebrados. 
• Mioglobina: Transporta 
oxígeno en los músculos. 
Reserva • Caseína: Proteína de la leche. 
• Albúmina del huevo: Fuente 
de aminoácidos. 
Contráctil • Constituyen las miofibrillas 
responsables de la contracción 
muscular (actina y miosina). 
• Dineína relacionada con el 
movimiento de cilios y flagelos. 
 
Reguladora • Algunas proteínas regulan la 
expresión de ciertos genes. 
• Regulan la división celular 
(ciclina). 
Sierras Romero Katherine 
 
 
 
 
16. ¿De qué manera se pueden clasificar las proteínas?Las proteínas se clasifican en dos categorías principales: holoproteinas y heteroproteínas. 
Las primeras están formadas exclusivamente por cadenas de péptidos, por tanto, se 
caracterizan por su estructura terciaria; las segundas, por cadenas de péptidos más un 
grupo prostético. 
 
17. Explica detalladamente la estructura de una proteína fibrosa y globular. Dibújalas y da 
ejemplos. 
Las proteínas fibrosas contienen por lo general proporciones elevadas de estructuras 
secundarias regulares, como hélices α y láminas plegadas β. Las proteínas fibrosas tienen 
una composición relativamente simple en su estructura. Generalmente están formadas por 
tres o cuatro aminoácidos unidos entres sí que se repiten muchas veces. Sus funciones 
principales consisten en servir como material estructural de soporte, resistencia y 
protección para los tejidos de los diferentes organismos vivos. Las proteínas globulares 
contienen varios tipos de estructuras secundarias en la misma molécula, el plegamiento da 
estructura terciaria, y a veces cuaternaria, pueden poseer grupos prostéticos, solubles en 
agua, unir ligandos, enorme diversidad funcional: Enzimas, receptores celulares, hormonas 
peptídicas, inmunoglobulinas, proteínas de transporte como la Mioglobina y 
Hemoglobina. 
 
 
 
18. De acuerdo a su composición ¿Qué diferencia hay entre la queratina y la hemoglobina? 
Defina que es una proteína simple y una conjugada. 
La queratina es una proteína fibrosa formada por haces de hélices α, mientras que las 
cadenas polipeptídicas de la fibroína de la seda están dispuestas en láminas plegadas β 
antiparalelas. La hemoglobina es una molécula casi esférica que se encuentra en los 
eritrocitos, donde su función principal es transportar oxígeno de los pulmones a todos los 
tejidos del cuerpo. La proteína contiene 4 subunidades, denominadas α y β. Cada subunidad 
contiene un grupo hemo que se une reversiblemente con el oxígeno. Las proteínas simples, 
como la albúmina sérica y la queratina, contienen sólo AA. Y las proteínas conjugadas, 
Homeostática • Mantienen el equilibrio 
osmótico. 
• Mantener constante el pH del 
medio interno. 
Sierras Romero Katherine 
constan de una proteína simple combinada con un componente no proteico, que se 
denomina grupo protésico. 
19. ¿Qué una apoproteína y una holoproteína? 
• Apoproteína: Componentes proteicos de las lipoproteínas. Son proteínas 
anfipáticas con un elevado contenido en estructura helicoidal que se asocian 
débilmente con las lipoproteicas. 
• Holoproteina: Es aquella que solo está compuesta por AA. 
 
20. ¿Cómo se clasifican las proteínas conjugadas? Dé ejemplos. 
Las proteínas conjugadas se clasifican según su naturaleza de su grupo protésico. Por 
ejemplo, las glucoproteínas contienen carbohidratos, las lipoproteínas contienen moléculas 
de lípidos y las metaloproteínas portan iones metálicos. De manera semejante, las 
fosfoproteínas poseen grupos fosfato y las hemoproteínas poseen grupos hemo. 
 
21. Diferencia los términos entre albúmina, globulina y glutelina 
• Albúmina: Se produce principalmente en el hígado. Ayuda a evitar que la sangre se 
escape de los vasos sanguíneos. También ayuda a transportar algunos 
medicamentos y otras sustancias a través de la sangre, lo cual es importante para 
el crecimiento de los tejidos y la curación. 
• Globulina: Compuesta de diferentes proteínas llamadas tipo α, β y γ. Algunas 
globulinas son producidas por el hígado, y otras por el sistema inmunitario. 
Ciertas globulinas se ligan con la hemoglobina. Otras globulinas transportan 
metales en la sangre, como el hierro, y ayudan a combatir infecciones. 
• Glutelina: Proteína que pertenece a la categoría de esferoproteínas, se 
encuentran mayoritariamente en los cereales (trigo, avena, centeno, cebada). Las 
glutelinas, no se dispersan uniformemente en toda la superficie del grano, sino que 
el 80% se condensa prácticamente en el endospermo junto con las prolaminas. 
22. Explica la relación que hay entre la estructura de la proteína y su función. 
Las proteínas se pliegan en formas específicas según la serie de AA en el polímero, y la 
función de la proteína se relaciona directamente con la estructura resultante 3D. Esto quiere 
decir que si la estructura de la proteína se modifica es posible que adquiera nuevas 
funciones. 
 
23. Relaciona el tipo de estructura de la proteína con las interacciones que contribuyen a la 
formación de cada estructura. Además define y dibuja cada estructura. (Se ejemplifica 
con azul). 
Tipo de estructura Definición Estructura (Dibujo) Tipo de 
interacciones 
Primaria Es la secuencia de 
aminoácidos de la 
proteína. Nos indica 
qué AA componen la 
cadena polipeptídica 
y el orden en que 
dichos AA se 
encuentran. 
 
Enlace peptídico 
entre aminoácidos. 
Sierras Romero Katherine 
Secundaria Organización en el 
espacio de la cadena 
polipeptídica 
estabilizada por 
puentes de 
hidrogeno entre los 
elementos C=O y NH 
de los enlaces 
peptídicos. 
 
Enlaces por puentes 
de hidrogeno entre 
los elementos C=O y 
NH 
Terciaria Conformación 
tridimensional única 
que asume una 
proteína debido a 
las interacciones 
entre las cadenas 
laterales de los 
aminoácidos. 
Interacciones 
hidrófobas y 
electrostáticas, 
enlaces por puentes 
de hidrogeno y 
enlaces covalentes. 
Cuaternaria Proteínas formadas 
por varias cadenas 
polipeptídicas con 
estructura terciaria, 
unidas mediante 
enlaces débiles (no 
covalentes), para 
formar un complejo 
proteico. 
 
Enlaces débiles (no 
covalentes 
 
24. ¿A qué se refiere qué existe homología entre proteínas? 
Se refiere a la situación en la que las secuencias de dos o más proteínas o ácidos nucleicos 
son similares entre sí debido a que presentan un mismo origen evolutivo. 
 
25. La estructura primaria de aminoácidos está compuesta por residuos de aminoácidos que 
se denominan invariables y otras regiones variables. Define que son los residuos 
invariables y explica que implicaciones tiene en la estructura de la proteína. 
Son los aminoácidos que están en todas las secuencias en la misma posición, son los básicos 
para determinar la función. En el citocromo c, los residuos invariables interactúan con el 
hem, un grupo protésico, o con determinadas proteínas que participan en la generación de 
energía. 
 
26. ¿Cómo explicarías una mutación que afecte la función de una proteína? 
Existen varias mutaciones que suceden en los genes, una de estas es la mutación sinónima 
la cual puede afectar al plegamiento de las proteínas y a su vez alterar la función de estas. 
Los cambios sinónimos que ocurren afectan la tasa en la que se adicionan los AA en el 
momento de la síntesis de la proteína y pueden alterar las funciones de las células. 
 
27. ¿Qué representa la siguiente figura? Indique sus características más importantes 
Sierras Romero Katherine 
 
28. Señale las principales diferencias entre las estructuras secundarias láminas plegadas β y 
hélices α. 
• Estructura hélice α: Tiene 3.6 aminoácidos por cada vuelta, y cada vuelta tiene 5.4 
angstrom. Esta estructura fue propuesta por Linus Pauling en 1951. 
• Estructura láminas plegadas β: en esta disposición, los AA no forman una hélice sino 
una cadena en forma de zigzag, denominada disposición en lámina plegada. 
 
 
 
 
 
29. Investigue 
a que se le denomina estructura supersecundaria. 
Es un puente entre la estructura secundaria y la terciaria. La estructura supersecundaria 
comprende las combinaciones de hélices α y láminas plegadas β que se han ido encontrando 
en proteínas. 
30. Desarrolle ampliamente el tipo de interacciones que mantienen estable una estructura 
terciaria (Interacciones hidrófobas, interacciones electrostáticas, puente salino, enlaces 
de hidrógeno, puentes disulfuro). 
Los enlaces covalentes pueden deberse a la formación de un puente disulfuroentre dos 
cadenas laterales de Cys, o a la formación de un enlace amida (-CO-NH-) entre las cadenas 
laterales de la Lys y un aminoácido dicarboxílico (Glu o Asp). Los enlaces no covalentes 
pueden ser de cuatro tipos: (1) fuerzas electrostáticas entre cadenas laterales ionizadas, con 
cargas de signo opuesto, (2) puentes de hidrógeno, entre las cadenas laterales de AA polares 
(3) interacciones hidrofóbicas entre cadenas laterales apolares y (4) fuerzas de polaridad 
debidas a interacciones dipolo-dipolo. 
• Puentes de hidrogeno 
• Lámina plegada 
• enlace peptídico 
• Hélice alfa 
• Grupo R 
• Grupo amino 
• Grupo carboxilo 
Sierras Romero Katherine 
El enlace que aporta más estabilidad es el de tipo covalente, y entre los no covalentes, 
las interacciones más importantes son las de tipo hidrofóbico, ya que exigen una gran 
proximidad entre los grupo apolares de los AA. Interacciones hidrofóbicas Son interacciones 
entre aminoácidos que tienen grupos R no polares. Dentro de una proteína, los aminoácidos 
con grupos R no polares se alejan del ambiente acuoso, lo que forma un centro 
hidrofóbico en el interior de la proteína. Puentes salinos. Son enlaces iónicos entre los 
grupos R ionizados de aminoácidos básicos y ácidos. Por ejemplo, el grupo R ionizado de 
arginina, que tiene una carga positiva, puede formar un puente salino (enlace iónico) con el 
grupo R en el ácido aspártico, que tiene una carga negativa. Enlaces por puente de 
hidrógeno. Se forman entre el H de un grupo R polar y el O o N de un segundo aminoácido 
polar. Por ejemplo, un enlace por puente de hidrógeno puede ocurrir entre los grupos -OH 
de dos serinas o entre el -OH de serina 
y el -NH2 en el grupo R de glutamina. 
Enlaces por puente disulfuro (-S – S-). 
Son enlaces covalentes que se forman 
entre los grupos -SH de dos cisteínas en 
la cadena polipeptídica. En algunas 
proteínas puede haber varios enlaces 
por puente disulfuro entre los grupos 
R de cisteínas en la cadena 
polipeptídica. 
 
31. Investigue que ocurre con las proteínas del cabello cuando aplicamos calor para alisarlo 
o curvearlo. ¿Qué proteína es? ¿Qué aminoácidos se ven afectados? ¿Por qué este 
efecto sólo es temporal? ¿Qué crees que estará pasando cuando el alisado es 
“permanente”? ¿Consideras que se está desnaturalizando la proteína? ¿Por qué? 
Queratina. Cisteínas. El agua rompe los puentes de hidrogeno que son enlaces débiles y es 
por ello que al bañarnos nuestro cabello pierde su forma original y al secarse la recupera. 
Por su lado la plancha por emitir ondas de calor lo que hace es romper los enlaces disulfuros, 
reorganizar las 
cadenas de queratina y hacer que las mismas queden de forma paralela para dar un aspecto 
lacio al cabello. Las proteínas que forman las hebras se desnaturalizan. 
32. Defina los siguientes términos: 
a) Dominio de una proteína 
Es la zona de la proteína donde se halla mayor densidad, es decir, donde hay más 
plegamientos. 
b) Subunidad 
Única molécula proteica que se une permanentemente o de manera temporal, con 
otras moléculas proteicas para formar un complejo proteico. 
c) Oligómeros 
Molécula formada por varias unidades estructurales similares enlazadas en cantidad 
moderada. 
d) Protómero 
Subunidad de la proteína o varias subunidades diferentes, que se reúnen en una 
estequiometria definida para formar un oligómero. 
e) Dímero 
Sierras Romero Katherine 
Es un fragmento de proteína que se produce cuando alguien tiene un coágulo 
sanguíneo. Generalmente, los coágulos sanguíneos comienzan a descomponerse 
lentamente después de formarse, y este proceso libera el dímero D en la sangre. 
f) Ligando 
Sustancia (usualmente una molécula pequeña) que forma un complejo con una 
biomolécula. Es una molécula que envía una señal al unirse al centro activo de una 
proteína. 
g) Aloterismo 
Es la regulación de una enzima u otra proteína al unirse una molécula efectora en el 
sitio alostérico de la proteína. 
 
33. ¿Cómo se mantienen unidas las subunidades en la estructura cuaternaria? 
Mediante las mismas interacciones que estabilizan sus estructuras terciarias, como los 
enlaces por puente de hidrogeno y los puentes salinos entre los grupos R, enlaces por 
puente disulfuro e interacciones hidrofóbicas. 
 
34. ¿Por qué crees que la estructura cuaternaria de las proteínas sea tan sensible al 
entorno? 
Es debido a que depende de muchas partes y enlaces que pueden ser vulnerables 
gracias al entorno que los rodea estando compuesto por tantos enlaces y cadenas 
polipeptídicas es normal que el ambiente afecta de una manera más notoria que con otras 
estructuras. 
 
35. Explica ampliamente en que consiste la desnaturalización de proteínas. 
Es el proceso en el cual una proteína cambia su estructura tridimensional, y de esta manera 
originar la perdida de la función de esta. Las proteínas funcionan correctamente en 
entornos celulares concretos. Condiciones diferentes originan la desnaturalización. La 
desnaturalización ocurre por ciertas condiciones físicas y químicas, llamados “factores 
desnaturalizantes”. La mayoría de las proteínas se pueden desnaturalizar mediante el 
aumento de la temperatura. 
 
 
36. ¿Cuáles son algunas condiciones desnaturalizantes de proteínas? Detalle. 
Los factores que pueden dañar o alterar las proteínas son: concentraciones de 
macromoléculas y compuestos de baja masa molecular, e pH, la fuerza iónica, y la 
temperatura. Las reacciones utilizadas para precipitar una proteína son ejemplos de 
condiciones de desnaturalización de estas, por ejemplo, el ponerlas en contacto con sales, 
con solventes orgánicos, Reactivo de Biuret, etc. 
 
Sierras Romero Katherine 
37. Busca un video en YouTube o cualquier otra plataforma en internet que sirva como 
recurso didáctico para el tema de aminoácidos y proteínas. Señala: ¿Qué aprendiste con 
el video? ¿Ventajas y desventajas de usar este método para el aprendizaje? 
https://www.youtube.com/watch?v=7AQ6uP6_7e0 
 
En el video aprendí que los aminoácidos son moléculas que se combinan para formar 
proteínas. Los aminoácidos y las proteínas son los pilares fundamentales de la vida. Cuando 
las proteínas se digieren o se descomponen, los aminoácidos se acaban y que las proteínas 
son moléculas grandes y complejas que desempeñan muchas funciones críticas en el 
cuerpo. Realizan la mayor parte del trabajo en las células y son necesarias para la estructura, 
función y regulación de los tejidos y órganos del cuerpo. 
• Ventajas: Es que puedo reforzar y complementar el tema. 
• Desventajas: Es que si tengo alguna duda es difícil que me quede claro. 
 
 
 
 
https://www.youtube.com/watch?v=7AQ6uP6_7e0