Logo Passei Direto
Subir material
Iniciar sesión
Pruébalo gratis
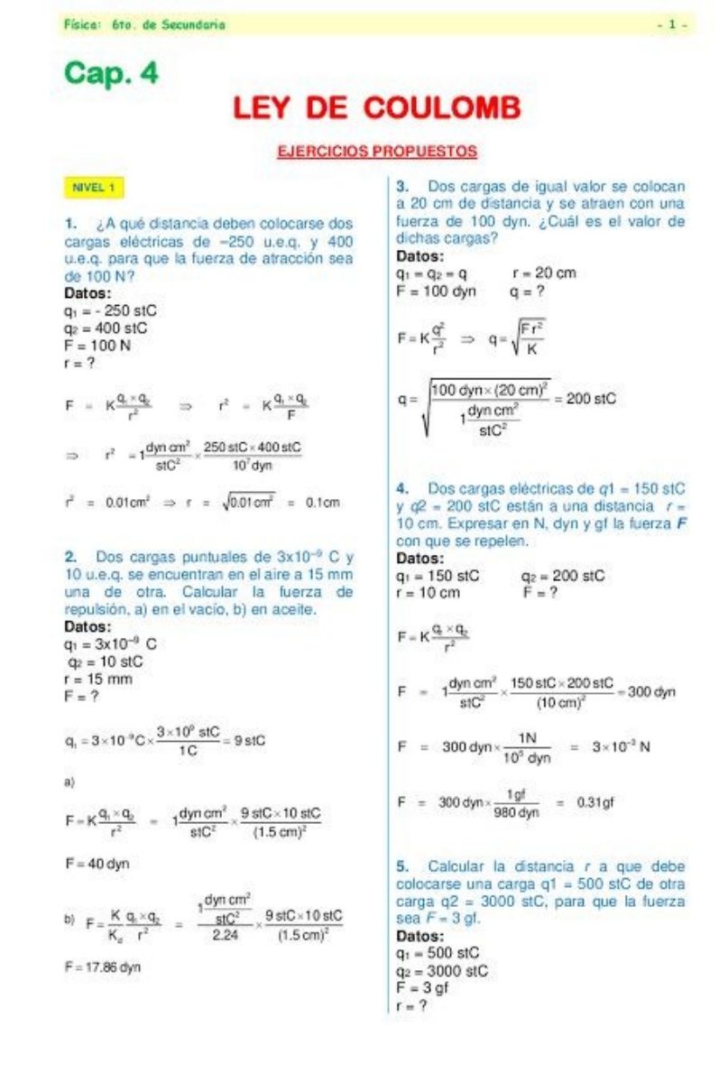
ley de coulumb
Cálculo
IPN
Jesus Gallardo
en
9/4/2025
0
Reportar
Reportar
Clave de respuestas
Ejercicios
Mapa mental
Resumen
Más opciones
Herramientas de estudio
Clave de respuestas
Ejercicios
Mapa mental
Resumen
Mostrar todo
Contenido elegido para ti
1 pag.
ley de coulumb ejercicios
IPN
1 pag.
formula ley de coulumb
IPN
Preguntas de este disciplina
O coeficiente de empuxo passivo de Rankine que o de Coulumbé menor devido a consideração de uma pequena deformação usada para a determinação do seu va
UDESC
Avalie as afirmações sobre os princípios básicos da eletricidade. I. A unidade de medida de uma carga elétrica elementar é definida em coulumb. II....
UNICSUL
Material
¡Estudia con miles de materiales!
Iniciar sesión
Contenido elegido para ti
1 pag.
ley de coulumb ejercicios
IPN
1 pag.
formula ley de coulumb
IPN
Preguntas de este disciplina
O coeficiente de empuxo passivo de Rankine que o de Coulumbé menor devido a consideração de uma pequena deformação usada para a determinação do seu va
UDESC
Avalie as afirmações sobre os princípios básicos da eletricidade. I. A unidade de medida de uma carga elétrica elementar é definida em coulumb. II....
UNICSUL
Más contenidos de este tema
200 ejercicios sobre Ecuaciones de Primer Grado con una incógnita resueltos paso por paso con todos los procedimientos. - Resumo
Forças e Momentos em Postes
Programação Linear na Juventude do Futebol Argentino
catalogo2018