Logo Passei Direto
Subir material
Iniciar sesión
Pruébalo gratis
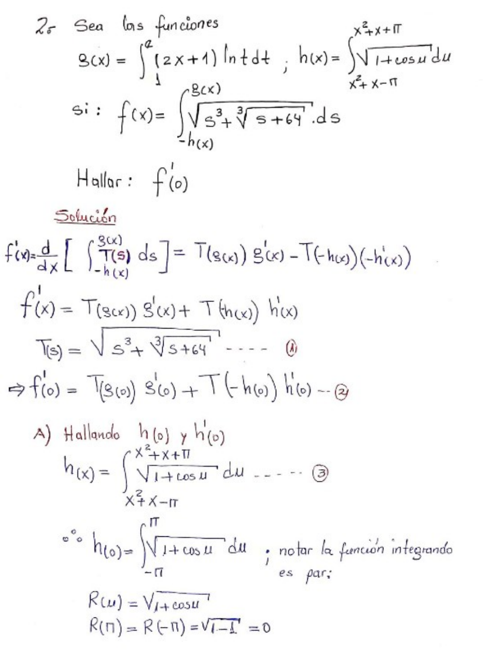
primer teorema del calculo
Educación Física
IPN
angel.jesus1707
en
9/4/2025
0
Reportar
Reportar
Clave de respuestas
Ejercicios
Mapa mental
Resumen
Más opciones
Herramientas de estudio
Clave de respuestas
Ejercicios
Mapa mental
Resumen
Mostrar todo
Contenido elegido para ti
1 pag.
teorema de convolucion
IPN
Material
¡Estudia con miles de materiales!
Iniciar sesión
Contenido elegido para ti
1 pag.
teorema de convolucion
IPN
Más contenidos de este tema
ENCICLOPEDIA DE EDUCACIÓN FÍSICA EN LA EDAD ESCOLAR - Resumo
CUADERNILLO APARATOS Y SISTEMAS Profa Kempis - Resumo
Michael Boyle - El entrenamiento funcional aplicado a deportes (1) - Resumo
deportes aeróbicos o anaeróbicos - Resumo
FASE 3 DIAGNÓSTICO 1 Y 2 PRIMARIA EDUCACIÓN FÍSICA
Comunicación y deporte el papel de los medios en la difusión y promoción del deporte
A interação entre alunos é um aspecto crucial no aprendizado de uma nova língua, especialmente em um ambiente escolar. O aprendizado cooperativo nã...
A introdução de atividades lúdicas no ensino de línguas é uma estratégia amplamente utilizada para engajar os alunos. Jogos e atividades manuais po...
El valor del deporte en la educación integral del ser humano
CAPACIDADES FISICAS
Mostrar más contenidos
chevronDownIcon