Logo Passei Direto
Material
¡Estudia con miles de materiales!

Vista previa del material en texto

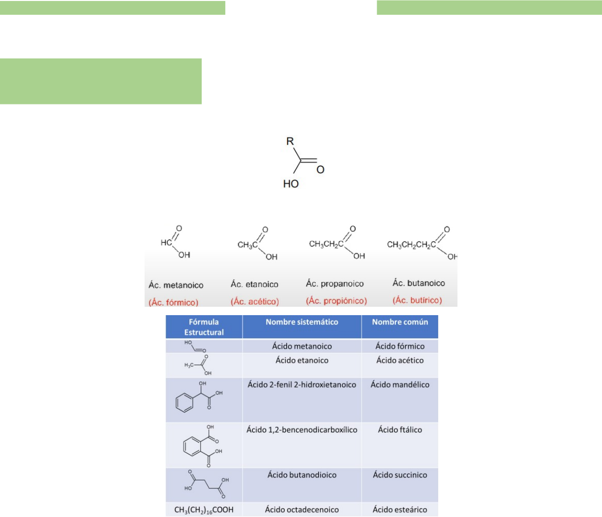
<p>Serie 6</p><p>El grupo funcional de los ácidos carboxílicos es el grupo CARBOXILO: Ácidos Carboxílicos</p><p>Nombres con los que se puede conocer a los ácidos que nombramos por medio de IUPAC:</p><p>Los ácidos carboxílicos son abundantes en la naturaleza y cumple numerosas funciones en los organismos vivos.</p><p>ESTRUCTURA Y ENLACE DE LOS ACIDOS CARBOXÍLICOS:</p><p>Tomaremos como ejemplo al ácido acético.</p><p>El átomo de carbono del grupo carboxilo tiene una hibridación sp2. Forma enlaces sigma con el Oxígeno del doble enlace, con el oxígeno del grupo hidroxilo y con el sustituyente que continúe en la cadena, en este caso un H.</p><p>Por ende, el grupo carboxilo es plano y posee ángulos de enlace de 120°.</p><p>El oxígeno del carbonilo también tiene hibridación sp2 . Uno de sus orbitales sp2 forma un enlace s con el carbono del carbonilo y cada uno de los otros dos orbitales contiene un par de electrones no compartidos. El orbital p restante del oxígeno del carbonilo se traslapa con el orbital p restante del carbono del carbonilo para formar un enlace p.</p><p>PROPIEDADES FÍSICAS DE LOS ÁCIDOS CARBOXÍLICOS:</p><p>Al igual que los alcoholes, las moléculas de ácidos carboxílicos están fuertemente asociadas por la posibilidad de formar puentes de hidrógeno. Pero a pesar de que ambos pueden formar puentes de hidrógeno, el punto de ebullición de los ácidos carboxílicos es considerablemente mayor que el de los alcoholes ¿Por qué? Porque los ácidos carboxílicos pueden formar dobles enlaces puente de hidrógeno y formar también dímeros cíclicos, lo cual generará una interacción más fuerte y, por ende, mayor punto de ebullición.</p><p>Pero si comparamos solubilidades, si actúan de una forma similar a los alcoholes, ya que ambos pueden formar puentes de hidrógeno con el agua, pero serán solubles totalmente aquellos que tengan hasta 4 carbonos en la cadena, si cuentan con más de 4 no serán 100% solubles.</p><p>ACIDEZ DE LOS ÁCIDOS CARBOXÍLICOS:</p><p>Estos compuestos tienen la capacidad de reaccionar frente a bases fuertes como el NaOH y bases débiles como el NaHCO3, dando lugar a la formación de sales metálicas de anión carboxilato (R-COO- Me+).</p><p>Los ácidos carboxílicos se disocian ligeramente en una solución acuosa diluida para dar lugar a iones hidronio (H3O+) y a los aniones correspondientes de carboxilato, y, como sabemos por la serie 1, el grado de disociación estará dado por la constante de acidez “Ka”.</p><p>• A mayor Ka, mayor cantidad de productos (RCOO- y H2O+)</p><p>• Cuando aumenta la concentración</p><p>de H3O+, baja el PH, ya que habrá</p><p>mayor acidez.</p><p>En el caso de los ácidos carboxílicos, no basta con justificar su acidez con el valor de su Ka, sino que tendremos que evaluarlos a partir de la estabilidad que tenga su base conjugada.</p><p>Cuando un compuesto tenga una carga negativa fija durante mayor tiempo, significa que su estabilidad es mayor. Cuanto más tiempo la base conjugada se mantenga con su carga negativa en solución, más acido se generará.</p><p>¿Cómo logra esta estabilidad el carboxilato?:</p><p>Estos dos son llamados</p><p>HÍBRIDOS DE RESONANCIA</p><p>El oxígeno toma los electrones del carbono y se romperá el enlace doble, el carbono ahora quedó deficiente de electrones, lo cuales serán dados por la carga negativa que tiene el otro oxígeno, dando origen a un enlace doble (pi). Esto generará la configuración del lado derecho en la que volverá a pasar lo mismo dando origen a la del lado izquierdo nuevamente, y así una y otra vez, generando que la carga negativa ocupe una posición central.</p><p>Por ende, el carboxilato estabiliza su carga negativa por resonancia entre los Oxígenos, generando así dos estructuras resonantes que son EQUIVALENTES ENERGÉTICAMENTE.</p><p>¿Por qué los ácidos carboxílicos son mucho más ácidos que los alcoholes aun cuando ambos contienen grupos</p><p>-OH?:</p><p>Un alcohol se disocia para dar un ion alcóxido, en el que la carga negativa se localiza en un solo átomo electronegativo y se estabiliza principalmente por un efecto de solvatación; sin embargo, un ácido carboxílico da un ion carboxilato, el cual cuenta con la capacidad de formar híbridos de resonancia, lo cual le dará una mayor capacidad de estabilidad.</p><p>Por ende, se puede decir que los ácidos carboxílicos son más ácidos que los alcoholes porque pueden ceder un protón y por la capacidad de estabilización de su base conjugada.</p><p>EFECTO DE LOS SUSTITUYENTES EN LA ACIDEZ DE LOS ÁCIDOS CARBOXÍLICOS:</p><p>La fuerza ácida de los ácidos carboxílicos puede variar dependiendo de los sustituyentes unidos al carbono alfa (carbono que se une al grupo funcional)</p><p>Los sustituyentes que se unen al carbono alfa pueden ser de dos tipos:</p><p>1- Sustituyentes atractores de electrones</p><p>2- Sustituyentes que ceden electrones</p><p>Sustituyentes atractores de electrones: Son aquellos que tienen una alta electronegatividad, como, por ejemplo, el Cloro, el Flúor o el Iodo.</p><p>Estos sustituyentes van a incrementar la estabilidad de la cadena, por ende, generarán mayor acidez. Ya que cuentan con la capacidad de generar un efecto inductivo negativo.</p><p>Para diferenciar entre dos átomos de alta electronegatividad, brindará más estabilidad aquel que sea más electronegativo de los dos. (A mayor cantidad de átomos electronegativos, mayor estabilidad y acidez).</p><p>Los electrones del enlace sigma entre el carbono alfa adyacente al grupo carboxilato y el átomo electronegativo, son atraídos hacia el cloro y dejan al átomo de carbono ligera carga positiva. El carbono alfa, debido a este carácter positivo, atrae electrones del carboxilato, que tiene carga negativa, y dispersa así la carga y estabiliza al anión. Mientras más estable sea el anión, la constante de equilibrio para su formación será más grande.</p><p>El efecto de la sustitución del halógeno disminuye a medida que el sustituyente se aleja del carboxilo. Por lo tanto, el ácido 2clorobutanoico tiene un pKa=2.86, el ácido 3-clorobutanoico tiene un pKa= 4.05 y el ácido 4-clorobutanoico tiene un pKa=4.52, similar al del ácido butanoico</p><p>Sustituyentes que ceden electrones: Son aquellos que cuentan con una baja electronegatividad, los cuales generarán menor estabilidad en la cadena y, por lo tanto, menor acidez. Ya que cuentan con la capacidad de generar un efecto inductivo positivo.</p><p>Para diferenciar entre dos átomos de baja electronegatividad, a mayor largo de la cadena, mayor efecto inductivo positivo.</p><p>¿Qué ocurre con el efecto de los sustituyentes en el ácido benzoico?:</p><p>Los efectos de los sustituyentes sobre la acidez también se encuentran en los ácidos benzoicos sustituidos. La acidez del ácido benzoico es un poco más fuerte que la del ácido acético. Su grupo carboxilo está unido a un carbono con hibridación sp2 y se ioniza en mayor grado que uno unido a un carbono con hibridación sp3.</p><p>Los anillos aromáticos del ácido benzoico pueden estar sustituidos con grupos donadores de electrones (grupos activadores) se activan frente a la sustitución electrofílica y disminuye la acidez desestabilizando el anión carboxilato. Por otro lado, si el sustituyente es un grupo atractor de electrones (grupo desactivador) aumenta la acidez del compuesto al estabilizarse el anión carboxilato.</p><p>¿Cómo se compara la acidez entre alcoholes si estos no son ácidos?:</p><p>Los alcoholes que pueden tener una ligera capacidad ácida son los alcoholes AROMÁTICOS, no los alifáticos.</p><p>Pero ¿cómo hace por ejemplo un fenol para convertirse en un fenóxido?</p><p>Para esto el fenol debe ser colocado en una solución básica fuerte de NaOH:</p><p>Si observamos bien, como el fenol actúa ligeramente como un ácido, se podría decir que hay un ácido y una base y se obtiene una sal y agua, por ende, estaríamos hablando de una NEUTRALIZACIÓN.</p><p>¿Qué es lo que le da estabilidad al fenóxido?: Lo que le dará estabilidad es su anillo.</p><p>En el anillo se pueden ver 6 electrones “pi” que van girando dentro del anillo. Los dos electrones pertenecientes a la carga negativa del anión oxígeno, pueden entrar en resonancia con los electrones pi del anillo aromático. Esto es lo que va a incrementar la estabilidad.</p><p>En este caso, hay 5 estructuras resonantes posibles, pero solo hay 2 que serán las más estables. Estas estructuras resonantes NO SON IGUALES ENERGETICAMENTE, al revés que en los ácidos carboxílicos.</p><p>Si quisiéramos comparar la acidez de dos fenoles deberíamos hacer lo mismo que en los ácidos</p><p>Derivados de Ácidos Carboxílicos y</p><p>Ácidos grasos</p><p>Los derivados de los ácidos carboxílicos son compuestos donde el grupo hidroxilo del grupo funcional carboxilo, se reemplaza por diferentes átomos o sustituyentes con alta electronegatividad.</p><p>Fórmulas generales:</p><p>Los ésteres y las amidas son grupos funcionales comunes a muchas moléculas de importancia en la naturaleza, como lípidos y proteínas; y participan de las rutas metabólicas biológicas.</p><p>Nomenclatura de derivados ácidos</p><p>Todos los derivados de los ácidos carboxílicos consisten en un grupo acilo unido a un átomo electronegativo.</p><p>Grupo acilo: En la nomenclatura hará que se termine en “ilo”.</p><p>El nombre de los halogenuros de acilo se obtiene poniendo el nombre del halogenuro correspondiente antes del grupo acilo.</p><p>Los anhídridos simétricos se ácidos monocarboxílicos no sustituidos y los anhídridos cíclicos de ácidos dicarboxílicos, se nombran al reemplazar la palabra “ácido” por la palabra anhídrido.</p><p>Los ésteres se nombran como alcanoatos de alquilo. Se identifica primero el nombre del grupo alquilo que se une al oxígeno. La parte del acilo se nombra eliminando la palabra ácido y se sustituye el sufijo –ico por la terminación –ato.</p><p>En el caso de las amidas se elimina la palabra ácido y se reemplaza el sufijo</p><p>–oico o –ico por –amida. Si se sustituye posteriormente al átomo de nitrógeno, el compuesto se nombra al identificar primero los sustituyentes del mismo y luego la amida.</p><p>PROPIEDADES FÍSICAS DE LOS DERIVADOS ÁCIDOS:</p><p>Los compuestos carboxílicos tienen los siguientes puntos de ebullición relativos:</p><p>amida > ácido carboxílico >> éster ≈ cloruro de acilo ≈ aldehído ≈ cetona</p><p>Los puntos de ebullición de un éster, cloruro de acilo, cetona y aldehído con masas moleculares comparables son similares, y son inferiores al punto de ebullición de un alcohol con una masa molecular comparable porque sólo las moléculas de alcohol pueden formar puentes de hidrógeno entre sí. Los puntos de ebullición de los compuestos carboxílicos son mayores que el del éter debido a su polaridad.</p><p>Las amidas tienen los puntos de ebullición más altos porque tienen fuertes interacciones dipolo-dipolo debido a que el contribuyente de resonancia con cargas separadas participa significativamente en la estructura global del compuesto. Si el nitrógeno de una amida se une a un hidrógeno, entre las moléculas se formarán puentes de hidrógeno.</p><p>Los derivados de ácido carboxílico son solubles en solventes como éteres, alcanos clorados e hidrocarburos aromáticos. Como los alcoholes y éteres, los compuestos carboxílicos con menos de cuatro carbonos son solubles en agua.</p><p>IMPORTANCIA BIOLÓGICA DE LOS ESTERES:</p><p>Por ejemplo, responsables del olor de frutas y flores. También utilizado por insectos para comunicarse entre sí. Los ésteres del glicerol, llamados triésteres de glicerol, triacilgliceroles o triglicéridos son productos naturales abundantes.</p><p>PREPARACIÓN DE ÉTERES:</p><p>Cuando se calientan un ácido carboxílico y un alcohol en presencia de un catalizador ácidos (generalmente HCl o H2SO4) se produce un equilibrio con el éster y el agua. Se puede observar es un equilibrio que puede ser desplazado hacia la derecha con exceso de reactivos o bien a la izquierda proceso denominado hidrólisis del éster.</p><p>SAPONIFICACIÓN DE ÉSTERES:</p><p>Un éster es hidrolizado por una base acuosa o por un ácido acuoso para producir un ácido carboxílico y un alcohol. Los ésteres generalmente se hidrolizan con bases y a este proceso se lo denomina saponificación, dado que este proceso se utiliza para la obtención de jabones a partir de las grasas.</p><p>ESTRUCTURA Y FUNCIONES DE LOS ÁCIDOS GRASOS:</p><p>La mayoría de los ácidos grasos en la naturaleza poseen un número par de átomos de carbono y una cadena de carbonos no ramificada. Pueden o no presentar insaturaciones en la cadena carbonada. Cuando hay enlaces dobles, casi siempre son cis.</p><p>El ácido oleico es monoinsaturado dado que sólo tiene un enlace doble, mientras que los ácidos linoleico, linolénico y araquidónico son ácidos grasos poliinsaturados porque tienen más de un enlace doble.</p><p>NOMENCLATURA DE ÁCIDOS GRASOS:</p><p>Los átomos de carbono de los ácidos grasos se numeran empezando por el carbono carboxílico (–COOH) que recibe el número 1, y se nombran en base a la nomenclatura IUPAC tradicional como se vio para ácidos carboxílicos, reemplazando la terminación del alcano lineal por -oico o -enoico dependiendo si el AG es saturado o insaturado respectivamente.</p><p>Así un ácido graso de 16 átomos de carbono según la nomenclatura tradicional se denomina ácido hexadecanoico; y un ácido graso de 18 átomos de carbono y una insaturación se denomina ácido octadecamonoenoico.</p><p>El modo de denominar los ácidos grasos consiste en el número de átomos de carbono seguido por dos puntos y el número de dobles enlaces, separados por coma.</p><p>Por ejemplo: el ácido oleico se designa C18:1(9); el número 18 nos indica el número de carbonos de la molécula, el 1 la instauración trans que tiene (número de dobles enlaces) y el (9) indica que el doble enlace comienza en el 9º carbono</p><p>No obstante, se usa otro modo de designación de los ácidos grasos insaturados, que ha adquirido bastante popularidad: la posición que ocupan los dobles enlaces se indica con respecto al último carbono de la cadena (el extremo -CH3), o sea, el carbono ω; de ahí derivan las denominaciones de ω-3, ω-6, etc. Un ácido graso ω-3 será el que tenga su primer doble enlace entre los carbonos 3 y 4, y un ácido graso ω-6 tendrá el primer doble enlace entre los carbonos 6 y 7, siempre a contar desde el extremo -CH3.</p><p>Propiedades físicas de los ácidos grasos: punto de fusión</p><p>Los ácidos grasos insaturados tienen por lo general puntos de fusión menores que los ácidos grasos saturados de igual cantidad de carbonos. Esto es una consecuencia de su estructura. Las largas cadenas saturadas de los ácidos grasos están extendidas por completas en el espacio tridimensional adoptando una conformación de zig-zag o conformación escalonada. Esto le permite “acomodarse” mejor como en las estructuras cristalinas. En consecuencia, los ácidos grasos saturados son sólidos a temperatura ambiente.</p><p>La presencia de insaturaciones en la cadena carbonada de los ácidos grasos introduce doblamientos y deformaciones por las características planas del doble enlace, otorgando rigidez a ese sector de la cadena y haciendo más difícil que las cadenas carbonadas se “acomoden” entre si, por lo que mientras más dobles enlaces existan, es más bajo el punto de fusión de un ácido graso</p><p>Datos Para Ejercicios</p><p>• Los ácidos carboxílicos experimentan reacción de acido-base tanto con el bicarbonato (NaHCO3) como con bases fuertes como el NaOH.</p><p>• Los fenoles para reaccionar requieren NaOH</p><p>• Los alcoholes para reaccionar necesitan una base todavía mas fuerte como la amida de sodio (NaNH2). Los alcoholes además reaccionan con el sodio metálico (Na0)</p><p>• Estereoquímica: Disposición espacial de los átomos en las moléculas y de sus efectos en las propiedades de estas.</p><p>• Entre cada una de las moléculas de ácido graso en su cola no polar existen interacciones tipo dipolo transitorio además de interacciones puente de hidrógeno entre los grupos carboxilo. El punto de fusión de los ácidos grasos depende de la longitud y grado de insaturación de las cadenas carbonadas.</p><p>Como así también, de la disposición de los dobles enlaces (cis o trans). A mayor número de átomos de C, mayor Pf. A mayor cantidad de insaturaciones, menor Pf y mayor fluidez.</p><p>A su vez, cuando estos dobles enlaces se ubiquen en posición cis, el punto de fusión será menor que si se encuentran en trans</p><p>Cuando el doble enlace está muy cerca del grupo carboxilo, la</p><p>molécula posee mayor superficie de contacto y esto aumentará el Pf.</p><p>•</p><p>• Derivados de los ácidos carboxílicos: Son compuestos que por medio de una reacción ha sido reemplazado el hidrógeno o todo el grupo OH del ácido carboxílico.</p><p>1- Sales de ácidos carboxílicos: El hidrógeno es reemplazada por un metal (por lo general del grupo 1-A). Para nombrarlos comenzaremos por la cantidad de carbonos y se le agregará ATO al final, por ejemplo, “etanoato”. Luego se pondrá “de metal agregado”, por ejemplo, “Etanoato de Sodio”.</p><p>2- Halogenuros o Haluros de ácidos: El grupo OH es reemplazado por un átomo del grupo de los halógenos, representados con una X. Para nombrarlos comenzamos con el halógeno y al final le agregamos la terminación “URO”, por ejemplo, “Cloruro”. Luego se coloca “de cantidad de carbonos + ilo”, por ejemplo, “Cloruro de etanoilo”.</p><p>3- Amidas: El grupo OH ha sido reemplazado por NH2 (Grupo amida). Para darles nombre primero tomaremos en cuenta la cantidad de carbonos y se le agregará la terminación “amida”, por ejemplo, “Etanoamida”.</p><p>4- Esteres: El grupo OH es reemplazada por un grupo “O-R”. Para nombrarlos primero se empieza por la cantidad de carbonos y le agregaremos la terminación ATO, ya que es un Ester, por ejemplo “Etanoato”. Luego se pondrá “de cantidad de carbonos que están presentes en R + ilo”, por ejemplo, “Etanoato de metilo”.</p><p>5- Anhidridos: Se reemplaza el hidrógeno por otro ácido carboxílico. Para nombrarlos se comienza por la palabra “Anhídrido” y luego se colocará “Cantidad de carbonos presentes en cada ácido carboxílico + ico”, si los dos ácidos carboxílicos tuviesen 2 átomos de carbonos cada uno, sería un “Anhídrido etanoico”.</p><p>En el caso que los ácidos tuviesen diferentes cantidades de átomos de carbonos, por ejemplo, uno tiene 2 (etano) y otro tiene 3 (propano), se nombraría como “Anhídrido etanopropanoico”</p><p>• Si me pidiese comparar estado de oxidación entre compuestos tendría que evaluar la cantidad de Oxígenos y de Hidrógenos que posee cada uno. Algo estará más oxidado cuantos más oxígenos y menos hidrógenos tenga.</p><p>• En la ionización de los ácidos se obtiene un ion carboxilato. En la ionización de un alcohol se obtiene un ion alcóxido (la carga está fija, no como en el ion carboxilato).</p><p>image7.png</p><p>image8.png</p><p>image9.png</p><p>image10.png</p><p>image11.png</p><p>image12.png</p><p>image13.png</p><p>image14.png</p><p>image15.png</p><p>image16.png</p><p>image17.png</p><p>image18.png</p><p>image19.png</p><p>image20.png</p><p>image21.png</p><p>image22.png</p><p>image23.png</p><p>image24.png</p><p>image25.png</p><p>image26.png</p><p>image1.png</p><p>image2.png</p><p>image3.png</p><p>image4.png</p><p>image5.png</p><p>image6.png</p>