Logo Passei Direto

Banco-de-questoes-de-fisica (120)

Ferramentas de estudo

Material
Study with thousands of resources!

Text Material Preview

121
BANCO DE QUESTO
 ES Farlei Roberto Mazzarioli www.farlei.net
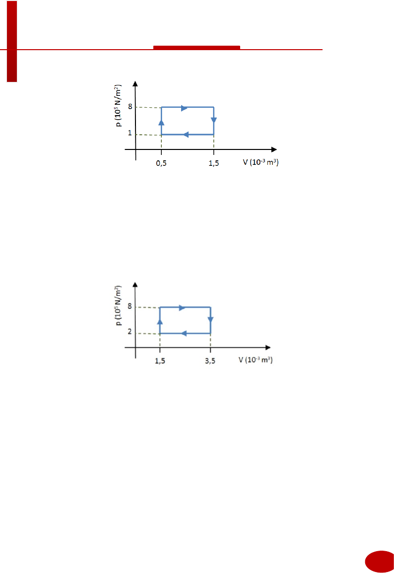
Qual o trabalho realizado por esta em cada ciclo?
a) 100 J
b) 250 J
c) 500 J
d) 700 J
e) 900 J
Questão. Uma máquina térmica realiza, aproximadamente, o gráfico a seguir. 
Qual o trabalho realizado por esta em cada ciclo?
a) 800 J
b) 1.200 J
c) 2.400 J
d) 3.600 J
e) 4.200 J
Questão. Um aparelho de ar condicionado simples tem uma potência de 800 W,
assim ele consome 800 J a cada segundo para realizar o seu trabalho. Suponha que
a sua eficiência seja 1,5. Qual o calor despejado no ambiente externo?
a) 1.000 J
b) 2.000 J
c) 3.000 J
d) 4.000 J