Logo Passei Direto
Submit Material
Sign In
Try for Free
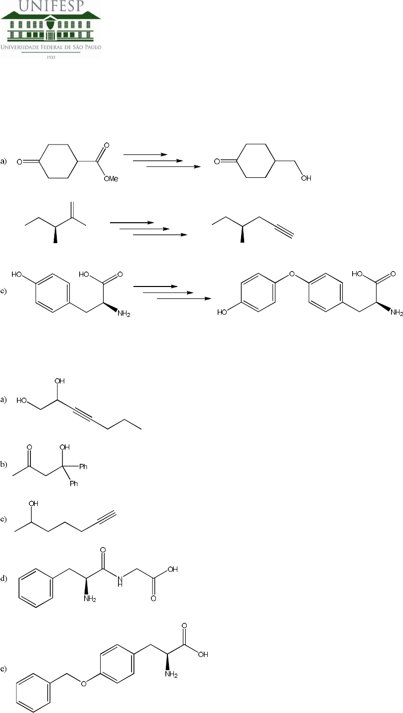
Lista de Exercícios Grupos Protetores
Natural Sciences
Chemistry
Organic Chemistry
UNIFESP
Carla Fernandes
in
4/6/2019
0
Report
Report
Gabarito
Exercícios
Mapa mental
Resumo
Mais opções
Ferramentas de estudo
Gabarito
Exercícios
Mapa mental
Resumo
Mostrar todas
Content selected for you
6 pg.
Lista de Exercícios Grupos Funcionais I
UFRGS
6 pg.
Lista de Exercícios Grupos Funcionais III
UFRGS
6 pg.
Lista de Exercícios Grupos Funcionais III-Respostas
UFRGS
Questions from this subject
Prova online Questão 1 I PLANEJAMENTO E SINTESE MOLECULAR/BIOTECNOLOGIA "A pressão constante para preparar os compostos de maneira mais eficiente c...
UNESC
Questão 7 I PLANEJAMENTO E SINTESE MOLECULAR Código da questão: 284165 BIOTECNOLOGIA "A pressão constante para preparar os compostos de maneira mai...
UNAMA
Material
Study with thousands of resources!
Sign in
Content selected for you
6 pg.
Lista de Exercícios Grupos Funcionais I
UFRGS
6 pg.
Lista de Exercícios Grupos Funcionais III
UFRGS
6 pg.
Lista de Exercícios Grupos Funcionais III-Respostas
UFRGS
Questions from this subject
Prova online Questão 1 I PLANEJAMENTO E SINTESE MOLECULAR/BIOTECNOLOGIA "A pressão constante para preparar os compostos de maneira mais eficiente c...
UNESC
Questão 7 I PLANEJAMENTO E SINTESE MOLECULAR Código da questão: 284165 BIOTECNOLOGIA "A pressão constante para preparar os compostos de maneira mai...
UNAMA
More content from this subject
Química orgânica
Conceitos sobre Solventes
Corantes
Isômero
Aula Prática Máquinas e mecanização agrícola (RESOLVIDO)
Ácidos carboxílicos
Acidez e basicidade em compostos orgânicos
Miolo RPA ENEM (Questões para Revisão_pag597
Miolo RPA ENEM (Questões para Revisão_pag593
Miolo RPA ENEM (Questões para Revisão_pag587
EngCompProd2017_Quimica_QQG002_P4_GABARITO
Descripcion-de-la-Tabla-Periodica-para-Segundo-de-Secundaria (1)
Show more content
chevronDownIcon