Logo Passei Direto
Material
¡Estudia con miles de materiales!

Vista previa del material en texto

Cálculo Numérico (Ing Informática, Ing Minas, Lic Sistemas) Facultad de Ingeniería - UNJu 
Mtr Ing Ariel Alejandro Vega 1 
 INTERPOLACION Y APROXIMACIÓN 
INTRODUCCION 
Una gran variedad de ramas de la ingeniería y de las ciencias requieren la aproximación de 
funciones y datos. El concepto de aproximación se basa en reemplazar una función por otra 
más simple ̃, que se utilizará como sustituta de la primera. Esta técnica a su vez se utiliza como 
base en un conjunto grande de aplicaciones y técnicas numéricas, como por ejemplo, búsqueda 
de raíces de ecuaciones no lineales, integración numérica, técnicas de optimización, entre otras; 
en donde el objetivo consiste en poder simplificar los cálculos al utilizar como base ̃. 
La aproximación también puede ser la única opción a utilizar cuando solo se conozca 
parcialmente la forma de por medio de valores en alguna colección finita de datos. En estos 
casos se construye una función ̃ que represente a la colección de datos. 
Existe una gran variedad de funciones que se suelen aproximar mediante el uso de un polinomio 
de Taylor en un intervalo dado. Computacionalmente, esta sustitución genera un alto costo 
porque se requiere del conocimiento tanto de como de sus derivadas hasta el orden en un 
punto . Además el polinomio de Taylor puede resultar ineficaz en la representación de la 
función en un punto lo suficientemente lejano al valor determinado por . 
Por ejemplo, si se desea evaluar la aproximación de la función ( ) 
 
 
 mediante el polinomio 
de Taylor de grado 10 construido alrededor del punto ; primero se debe construir el 
polinomio de Taylor que tendrá la siguiente forma 
 ( ) ( )
 ( ) ( ) ( ) ( ) ( ) 
 ( ) ( ) ( ) 
Luego se podría realizar un gráfico que compare la función con su polinomio de Taylor, tal 
como se observa en la Figura 1 
 
Figura 1 
Se puede deducir que la afinidad entre la función (indicada con línea continua) y su polinomio 
de Taylor (indicado con línea discontinua) es muy buena en un pequeño entorno alrededor de 
 , mientras que resulta insatisfactoria cuando se hace grande. 
 
Cálculo Numérico (Ing Informática, Ing Minas, Lic Sistemas) Facultad de Ingeniería - UNJu 
Mtr Ing Ariel Alejandro Vega 2 
Esto es provocado en gran parte a que los polinomios de Taylor se construyen en base a un 
único punto , por lo tanto es de esperarse que sus aproximaciones sean poco precisas a 
medida que se alejan de ese punto. Por lo tanto la aplicabilidad del polinomio de Taylor para 
aproximar funciones se restringe a puntos cercanos a , siendo más conveniente utilizar 
métodos de aproximación que empleen la información disponible de los puntos que se poseen. 
El estudio de la teoría de la aproximación implica dos tipos de problemas. El primero surge 
cuando se tiene explícitamente una función pero se desea encontrar un tipo de función más fácil 
de operar (como por ejemplo un polinomio) y que a la vez se pueda usar para determinar los 
valores aproximados a la función dada. El segundo tipo de problemas de la teoría de 
aproximación consiste en ajustar funciones a datos dados y encontrar una función que dentro de 
ciertos parámetros sea la que mejor representa a los datos. 
INTRODUCCION A LA INTERPOLACIÓN 
En una gran variedad de problemas es deseable representar una función a partir del 
conocimiento de su comportamiento en un conjunto discreto de puntos. En algunos problemas 
solo tendremos valores en un conjunto de datos, mientras que en otros, buscaremos representar 
una función mediante otra más simple. En el primer caso hablaremos de interpolación de datos, 
mientras que el segundo caso hace referencia a la interpolación de funciones. 
En la interpolación de datos se parte de la suposición de que se tiene un conjunto de valores 
 para los cuales se sabe su valor de ( ) con la particularidad de que no puede 
hacer uso de la expresión analítica de ( ), y por lo tanto no se puede calcular directamente el 
valor de la función en otro punto. Este hecho es muy común cuando los valores ( ) son 
resultados obtenidos mediante la medición o la aplicación de un cálculo numérico complicado 
que no admite una expresión funcional sencilla. 
Se desea poder utilizar estos pares de datos ( ( ) para estimar el valor de ( ) en un punto 
concreto mediante una función denominada interpolante (que significa que esta función 
en esos puntos coincide con la función desconocida o de expresión analítica compleja). 
Si el valor de se halla contenido por los valores entonces se realizará lo que se 
denomina interpolación, caso contrario se resolverá un problema de extrapolación. 
Se pueden utilizar diferentes tipos de funciones interpolantes como por ejemplo polinomios, 
funciones racionales, funciones trigonométricas, etc. En este apartado nos centraremos en las 
funciones interpolantes polinómicas. 
Los polinomios como funciones interpolantes son naturalmente la primera opción debido a que 
sus derivadas e integrales son relativamente fáciles de obtener y devuelven otros polinomios. 
Además son fácilmente manipulables al momento de formarlos de tal forma que pasen por los 
puntos que se poseen como información. 
En la interpolación de funciones, la razón principal por la cual se busca aproximar funciones 
reales mediante el uso de otras radica en la necesidad de realizar cálculos con mayor rapidez y 
facilidad de cálculo, a la vez que permitan minimizar la introducción de errores en los mismos. 
Los procedimientos de cálculo que usan los ordenadores actuales (desktops, notebooks, 
celulares, calculadoras, electrodomésticos, vehículos, consolas de video juegos, etc) para 
evaluar funciones incorporadas (por ejemplo , o ) involucran aproximaciones 
 
Cálculo Numérico (Ing Informática, Ing Minas, Lic Sistemas) Facultad de Ingeniería - UNJu 
Mtr Ing Ariel Alejandro Vega 3 
mediante polinomios por las razones indicadas en el párrafo anterior. De hecho los métodos más 
efectivos que hoy se utilizan son las funciones racionales (que son cocientes de polinomios); sin 
embargo la teoría de la aproximación polinomial es la más adecuada para una primera 
introducción al cálculo numérico en la temática de aproximación de funciones. Más aun 
considerando que la interpolación se utiliza como base para otras técnicas de métodos 
numéricos como la integración numérica, entre otras. 
INTERPOLACION LINEAL 
Suponga que posee una tabla de valores de una función y desconoce la función (o es muy 
compleja de aplicar y los valores obtenidos son resultado de una medición). Nos interesa el 
valor de la función para determinado distinto de los que figuran en la tabla. 
La interpolación lineal consiste en trazar un polinomio de grado 1 (es decir una recta) que pasa 
por dos puntos de la tabla y determinar el valor de ( ) estimándolo a partir de este polinomio. 
Demostración 
 
Figura 2 
Dado el gráfico de la Figura 2, donde y son valores pertenecientes a la tabla que 
poseemos, entonces por tabla sabemos que 
 ( ) 
y 
 ( ) 
Queremos saber, pues 
 ( ) 
cuando , utilizando una recta que pasa por ( ) y ( ) para estimar el valor 
de la función en según esta recta en lugar de utilizar la función real. Esto es 
 ( ) ( ) 
Gráficamente podemos determinar la ecuación de la recta aplicando el concepto de Semejanza 
de Triángulos por el cual 
 
Cálculo Numérico (Ing Informática, Ing Minas, Lic Sistemas) Facultad de Ingeniería - UNJu 
Mtr Ing Ariel Alejandro Vega 4 
 ̂ ̂ 
Entonces 
 ̅̅ ̅̅
 ̅̅ ̅̅
 
 ̅̅ ̅̅
 ̅̅ ̅̅
 
Despejando obtenemos 
 ̅̅ ̅̅ 
 ̅̅ ̅̅
 ̅̅ ̅̅
 ̅̅ ̅̅ 
O lo que es lo mismo 
( ) 
( )
( )
 ( ) 
Finalmente 
 ( ) 
( )
( )
 ( ) 
Nota: Cuando se desea estimar un valor usando esta interpolación se genera un error cuandola 
función real es una curva. Para disminuir ese error el intervalo de interpolación debe ser el más 
pequeño posible. En general se recomienda usar polinomios de mayores grados. 
Ejemplo 1: 
El número de bacterias por unidad de volumen existentes en una incubación después de horas 
es presentado en la siguiente tabla. Se desea saber cuál es el volumen de bacterias para el tiempo 
de 3,5 horas. 
Horas(x) 0 1 2 3 4 
Volumen de bacterias (y) 30 48 67 91 135 
 
Si se usan los siguientes puntos: (2,67) y (4, 135) [recuerde que se requiere que el valor a 
estimar este contenido dentro del intervalo] y se los reemplaza en la ecuación de interpolación 
lineal obtenemos 
 ( ) 
( )
( )
 ( ) 
 
 ( ) 
( )
( )
 ( ) 
 ( ) 
( )
( )
 ( ) 
 ( ) 
 
Cálculo Numérico (Ing Informática, Ing Minas, Lic Sistemas) Facultad de Ingeniería - UNJu 
Mtr Ing Ariel Alejandro Vega 5 
 Pregunta 1: ¿Es la mejor aproximación que podemos obtener con la interpolación 
lineal? Justifique su respuesta. 
 Pregunta 2: Si la observación del fenómeno dio como resultado 112, ¿Cuál es el error 
absoluto y relativo respecto a la mejor aproximación que puede tener con este método? 
 Pregunta 3: Para meditar…¿El valor obtenido por observación es el valor real? 
Ejemplo 2: 
Luis tiene una fábrica de helados, y quiere hacer un estudio para determinar los ingresos que 
tuvo en agosto a partir de los gastos hechos. El administrador de la empresa realiza una gráfica 
que expresa esa relación, pero Luis desea saber: 
¿Cuáles hubieran sido los ingresos de agosto, si se hubiera realizado un gasto de $ 55 000? 
 
De la observación de la gráfica no se pueden determinar en forma exacta los valores del 
intervalo, aun así se pueden estimar estos valores por observación, por ej: 
Gastos ( ) Ingresos ( ) 
$ 50000 $ 62000 
$ 60000 $ 77000 
Entonces aplicando la interpolación lineal tendremos: 
 ( ) 
( )
( )
 ( ) 
 ( ) 
( )
( )
 ( ) 
 ( ) 
( )
( )
 ( ) 
 ( ) 
 Pregunta 1: Suponga que en el gráfico anterior los puntos indicados son valores exactos, 
esto es 
 
Cálculo Numérico (Ing Informática, Ing Minas, Lic Sistemas) Facultad de Ingeniería - UNJu 
Mtr Ing Ariel Alejandro Vega 6 
Gastos ( ) Ingresos ( ) 
$ 20000 $ 25000 
$ 45000 $ 56000 
$ 62000 $ 78000 
Utilizando la interpolación lineal determine el valor de ingresos para el mismo valor de 
gastos que el punto anterior. ¿Este resultado será mejor aproximación que el anterior? 
 Pregunta 2: Para este caso ¿la interpolación lineal será suficiente para estimar nuevos 
valores o debería utilizar polinomios de mayor grado que 1? 
Ejemplo 3: 
Estime el logaritmo natural de 2 mediante interpolación lineal. Primero, realice el cálculo por 
interpolación entre y . Después, repita el procedimiento, pero use un 
intervalo menor (de a (1,386294)). Observe que el valor verdadero del es 
0,6931472. 
 ( ) 
( )
( )
 ( ) 
 ( ) 
( )
( )
 ( ) 
 ( ) 
( )
( )
 ( ) 
 ( ) 
Este valor representa un error relativo del 48,3%. 
Para el segundo intervalo el resultado de la interpolación es 0,4620981. Note que con este 
intervalo el error relativo se reduce a 33,3%. Ambas interpolaciones se muestran en la Figura 3 
junto a la función logarítmica. 
 
Figura 3 
 
 
Cálculo Numérico (Ing Informática, Ing Minas, Lic Sistemas) Facultad de Ingeniería - UNJu 
Mtr Ing Ariel Alejandro Vega 7 
Referencias Aproximación, Interpolación e Interpolación Lineal 
1. Arthur Goodman, L. H. (1996). Algebra y trigonometría con geometría analítica. 
Pearson Educación. 
2. Harpe, P. d. (2000). Topics in Geometric Group Theory. University of Chicago Press. 
3. Hazewinkel, M. (2001). Linear interpolation», Encyclopedia of Mathematics. 
4. J. M. (1998). Elementos de métodos numéricos para Ingeniería. UASLP. 
5. E. (2002). A chronology of interpolation: from ancient astronomy to modern signal and 
image processing. Proceedings of the IEEE. 
6. numérico, I. a. (2006 ). Xavier Tomàs, Jordi Cuadros, Lucinio González. 
7. Chapra (2007). Steven C Chapra. Métodos numéricos para ingenieros. Quinta Edición. 
McGraw-Hill Interamericana. 
8. Fernandez (2012). José Antonio Ezquerro Fernández. Iniciación a los métodos 
numéricos. Servicio de publicaciones de la Universidad de la Rioja. 
 
 
Cálculo Numérico (Ing Informática, Ing Minas, Lic Sistemas) Facultad de Ingeniería - UNJu 
Mtr Ing Ariel Alejandro Vega 8 
INTERPOLACION CUADRATICA 
La interpolación cuadrática se utiliza en aquellos casos en que se desea minimizar (o incluso 
eliminar) el error cometido al aproximar una curva mediante una línea recta. En consecuencia, 
una estrategia para mejorar la estimación consiste en introducir alguna curvatura a la línea que 
une los puntos. 
 
Dado tres puntos ( , ), ( , ) y ( , ) no alineados de una función desconocida o cuya 
expresión algebraica genera una gran cantidad de cálculos para su aplicación, se puede calcular 
el valor de la función en un punto [ ] mediante la expresión 
 
 ( ) 
 
Donde los coeficientes pueden calcularse resolviendo el siguiente sistema de tres 
ecuaciones con tres incógnitas 
 
 
 
 
 
 
 
 
De esta forma aplicando algunos de los métodos disponibles para resolución de sistemas de 
ecuaciones podríamos obtener los coeficientes. Luego reemplazando los coeficientes en la 
ecuación original se halla la ecuación cuadrática y es posible entonces estimar el valor de la 
función para un x en particular. 
Sin embargo se puede automatizar el procedimiento anterior para evitar hallar los coeficientes 
de la función. Para ello es conveniente de expresar el polinomio de segundo grado (o polinomio 
cuadrático o parábola) de la siguiente manera 
 ( ) ( ) ( )( ) (Ecuación 1) 
 
Nota: El polinomio interpolador siempre es el mismo (y único), no importando la forma en la 
que se ha llegado a obtener su forma. Dado que el polinomio de interpolación cuadrático puede 
ser considerado un caso particular del polinomio de Newton o del polinomio de Lagrange 
reservaremos los cálculos algebraicos que dan su forma cuando se vean estos métodos en 
particular. 
Con esta forma de expresión del polinomio interpolador de segundo grado, su aplicación 
consiste en determinar los coeficientes , y . 
Para hallar se puede proceder a evaluar con . De esta evaluación se obtiene que 
 ( ) 
Si reemplazamos en la Ecuación 1 
 
 ( ) ( ) ( ) ( )( ) (Ecuación 2) 
 
Si a esta ecuación resultante la evaluamos en 
 
 ( ) ( ) ( ) 
 
De la cual podemos despejar 
 
 ( ) ( )
 
 
 
 
Cálculo Numérico (Ing Informática, Ing Minas, Lic Sistemas) Facultad de Ingeniería - UNJu 
Mtr Ing Ariel Alejandro Vega 9 
Si reemplazamos y en la Ecuación 1 y se evalúa en obtendremos que 
 
 
 ( ) ( )
( )
 
 ( ) ( )
 
( )
 
 
Entonces el polinomio interpolador cuadrático queda de la siguiente forma: 
 
 ( ) ( ) 
 ( ) ( )
 
( ) 
 ( ) ( )
( )
 
 ( ) ( )
 
( )
( )( ) 
 
El cual resulta práctico de usar bajo la asistencia de una herramienta de cálculo en donde se 
ingresen los valores de los puntos y el valor de x buscado. 
 
Ejemplo 1: 
 
Estime el logaritmo natural de 2 mediante interpolación cuadrática. Primero, realice el cálculo 
por interpolación entre , y . Después, compare con 
respecto al resultado obtenido en la interpolación lineal. Observe que el valor verdadero de 
es 0,6931472 
Contamos entonces con la siguiente información 
 Valor () 
0 1 0 
1 4 1,386294 
2 6 1,791759 
 
Entonces 
 
 ( ) 
 
 
 ( ) ( )
 
 
 
 
 = 0,4620981 
 
 
 ( ) ( )
( )
 
 ( ) ( )
 
( )
 
 )
( )
 
( )
 
 
Y sustituyendo en la Ecuación 1 tenemos que 
 
 ( ) ( ) ( )( )( ) 
 
Entonces para el valor tendremos que 
 
 ( ) ( ) ( )( )( ) 
 
 ( ) 
 
Este resultado arroja un error relativo del 18,4%. Esto significa que la curvatura del polinomio 
interpolador cuadrático mejora la interpolación comparándola con el resultado obtenido al usar 
líneas rectas, tal como lo muestra la Figura 4. 
 
Comparación entre interpolación lineal e interpolación cuadrática 
 
 
Cálculo Numérico (Ing Informática, Ing Minas, Lic Sistemas) Facultad de Ingeniería - UNJu 
Mtr Ing Ariel Alejandro Vega 10 
Observe que, como en el caso de la interpolación lineal, todavía representa la pendiente de la 
línea que une los puntos y . Así, los primeros dos términos de la Ecuación 1 son 
equivalentes a la interpolación lineal de a . El último término, ( )( ), 
determina la curvatura de segundo grado en la ecuación. 
 
 
Figura 4 
 
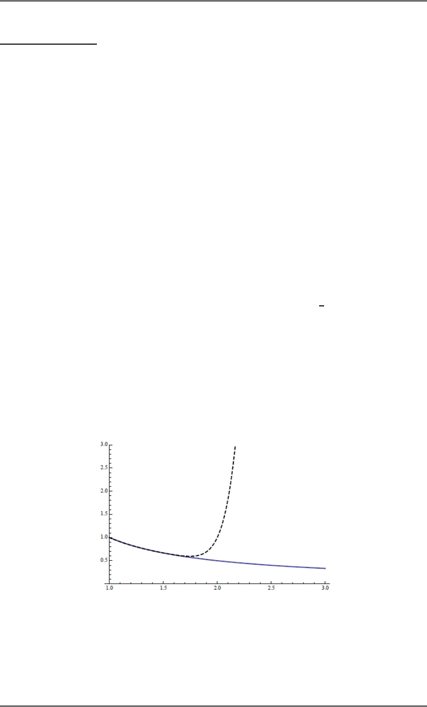
Otros usos de la interpolación cuadrática 
 
La interpolación cuadrática aprovecha la ventaja de que un polinomio de segundo grado con 
frecuencia proporciona una buena aproximación a la forma de f(x) en las cercanías de un valor 
óptimo (Figura 5). 
 
Figura 5 
Así como existe sólo una línea recta que pasa por dos puntos, hay únicamente una ecuación 
cuadrática o parábola que pasa por tres puntos. De esta forma, si se tiene tres puntos que 
contienen un punto óptimo, se ajusta una parábola a los puntos. Después se puede derivar e 
igualar el resultado a cero, y así obtener una estimación de la óptima. 
Así, es posible demostrar mediante algunas operaciones algebraicas que el resultado es 
 
 ( )( 
 
 ) ( )( 
 
 ) ( )( 
 
 )
 ( )( ) ( )( ) ( )( )
 (Ecuación 3) 
 
Cálculo Numérico (Ing Informática, Ing Minas, Lic Sistemas) Facultad de Ingeniería - UNJu 
Mtr Ing Ariel Alejandro Vega 11 
Donde , y son los valores iniciales, mientras que es el valor que corresponde al valor 
máximo del ajuste cuadrático para los valores iniciales. 
Este hecho es relevante, por cuanto se puede observar que la interpolación sirve como base para 
otras técnicas de métodos numéricos como por ejemplo la optimización. 
 
Ejemplo 2: 
Use la interpolación cuadrática para aproximar el máximo de ( ) 
 
 
 con los 
valores iniciales , y . Se sabe que el valor de que satisface lo solicitado 
es , el cual determina el valor máximo de ( ) 
 
Se evalúa la función en esos tres valores iniciales 
 ( ) 
 ( ) 
 ( ) 
 
Sustituyendo en la ecuación 3, se obtiene 
 
 ( ) ( )( )
 ( )( ) ( )( )
 
 
Para este valor la función ( ) 
 
Este valor obtenido es una aproximación. Se pueden utilizar distintas técnicas que introducen 
este valor como inicial descartando alguno de los 3 que se usó al principio. 
Por ejemplo la técnica “Sección Dorada” determina que 
 Si el valor de la función del punto obtenido es mayor que el de la función en el punto 
intermedio entonces, 
 Si el valor del punto obtenido está a la derecha del punto intermedio, el punto 
intermedio se corre a la izquierda y su lugar es ocupado por el punto obtenido. 
 En cambio si el valor del punto obtenido está a la izquierda del punto intermedio, el 
punto intermedio se corre a la derecha y su lugar es ocupado por el punto obtenido. 
De esta manera se volverá a aplicar la interpolación cuadrática para ir mejorando la 
aproximación hasta que converja al valor que obtiene el valor de la función. Solo como 
referencia observe que al usar la técnica de optimización denominada “Sección Dorada” se 
obtendrá el siguiente cuadro de convergencia 
 
Observe que luego de iterar 5 veces con la interpolación cuadrática en conjunto con la regla de 
“Sección Dorada” se llega al valor óptimo. 
 
Referencias Interpolación Cuadrática 
1. Chapra (2007). Steven C Chapra. Métodos numéricos para ingenieros. Quinta Edición. 
McGraw-Hill Interamericana. 
2. Fernandez (2012). José Antonio Ezquerro Fernández. Iniciación a los métodos 
numéricos. Servicio de publicaciones de la Universidad de la Rioja. 
 
Cálculo Numérico (Ing Informática, Ing Minas, Lic Sistemas) Facultad de Ingeniería - UNJu 
Mtr Ing Ariel Alejandro Vega 12 
INTERPOLACION DE LAGRANGE 
La interpolación polinomial se puede expresar en varias formas alternativas que pueden 
transformarse entre sí. Entre éstas se encuentran las series de potencias, la interpolación de 
Lagrange y la interpolación de Newton hacia atrás y hacia adelante. 
Así, un polinomio de orden que pasa a través de puntos es único. Esto significa que, 
independientemente de la ecuación de interpolación, todas las interpolaciones polinomiales que 
se ajustan a los mismos datos son matemáticamente idénticas. 
Suponga que se dan puntos como 
 
 
 
donde son las abscisas de los puntos (puntos de la malla) dados en orden 
creciente. Los espacios entre los puntos de la malla son arbitrarios. El polinomio de orden que 
pasa a través de los puntos se puede escribir en una serie de potencias como 
 ( ) 
 
 
Donde los son coeficientes. El ajuste de la serie de potencias a los puntos dados da un 
sistema de ecuaciones lineales 
 
 
 
 
 
 
 . 
 . 
 . 
 
 
 
Aunque los coeficientes pueden determinarse resolviendo las ecuaciones simultáneas por 
medio de un programa computacional, dicho intento no es deseable por dos razones: 
 Primero, se necesita un programa que resuelva un conjunto de ecuaciones lineales. 
 En segundo lugar, la solución del ordenador quizás no sea precisa. (realmente, las 
potencias de en la ecuación pueden ser nümeros muy grandes, y si es así, el efecto de 
los errores por redondeo será importante.) 
Por fortuna, existen mejores métodos para determinar una interpolación polinomial sin resolver 
las ecuaciones lineales. Entre éstos están la formula de interpolación de Lagrange. 
Desarrollo del polinomio de Lagrange 
Partimos del polinomio de interpolación lineal 
 ( ) 
( )
( )
 ( ) 
 ( ) ( ) 
( )
( )
 
Deseamos evaluar el resultado de la ecuación cuando y . 
Para el resultado es 
 ( ) ( ) 
( )
( )
 ( ) 
Para el resultado es 
 ( ) ( ) 
( )
( )
 ( ) 
 
Cálculo Numérico (Ing Informática, Ing Minas, Lic Sistemas) Facultad de Ingeniería - UNJu 
Mtr Ing Ariel Alejandro Vega 13 
El matemático francés Joseph Louis Lagrange obtuvo el mismo resultado al expresar el 
polinomio de grado 1 de esta manera: 
 ( ) 
( )
( )
 
( )
( )
 (Ecuación 5) 
Efectivamente 
Para el resultado es 
 ( ) 
( )
( )
 
( )
( )
 ( ) ( ) 
Para el resultado es 
 ( ) 
( )
( )
 
( )
( )
 ( ) ( ) 
Lagrange expresó el polinomio (Ecuación 5) de tal forma que cada sumando de esta relación es 
un término lineal, por lo que su suma será un polinomio de grado menor o igual a 1. 
Luego Lagrange denotó a los cocientes involucrados de la siguiente manera 
 ( ) 
( )
( )
 
 ( ) 
( )
( )
 
Estos cocientes se denominan polinomios coeficientes de Lagrange. La fórmula queda 
 ( ) ( ) ( ) 
Que se puede expresarde la siguiente manera 
 ( ) ∑ ( )
 
 
 
Generalización del polinomio de Lagrange 
Teorema 1: 
Si son números diferentes y es una función cuyos valores están dados en 
esos puntos, entonces existe un único polinomio de grado con la propiedad de que 
 ( ) ( ) 
Para cada 
Este polinomio está dado por 
 ( ) ∑ ( )
 
 
 
Demostración 
Por una serie de puntos pasa un polinomio de grado que se puede expresar en función 
de sus raíces de la siguiente manera 
 ( ) ( )( ) ( ) ( )( ) ( )
 ( )( )( ) ( ) 
 ( )( ) ( )( ) ( )
 ( )( ) ( )( )
 ( )( ) ( )( ) 
Los coeficientes del polinomio se determinan haciendo cumplir las condiciones 
 ( ) 
 ( ) 
 
Cálculo Numérico (Ing Informática, Ing Minas, Lic Sistemas) Facultad de Ingeniería - UNJu 
Mtr Ing Ariel Alejandro Vega 14 
 .. 
 .. 
 ( ) 
Con lo cual se obtiene 
 
 ( )
( )( ) ( )
 
 
 ( )
( )( ) ( )
 
 
 …. 
 
 
 ( )
( )( ) ( )( ) ( )
 
Que se puede expresar 
 ( ) ∏
 
( )
 
 
 
 
Si reemplazamos esto en la ecuación del polinomio de grado obtenemos 
 ( ) ∑ ( ) ( )
 
 
 
con 
 ( ) ∏
( )
( )
 
 
 
 
 
 
Que es el polinomio de Lagrange 
 
Ejemplo 1: 
 
De una función , conocemos la información de la tabla que sigue. Interpolar ( ) usando 
un polinomio interpolante ( ) indicando la subtabla que se va a utilizar. 
 0 0,1 0,2 0,3 0,4 0,5 0,6 0,7 
 ( ) 0,3 0,31 0,32 0,33 0,34 0,45 0,46 0,47 
 
Se pide utilizar un polinomio de grado 3, por lo tanto se necesita utilizar una subtabla que 
involucre a cuatro datos. Una posible opción es utilizar 
 
 0,2 0,3 0,4 0,5 
 ( ) 0,32 0,33 0,34 0,45 
 
Entonces el polinomio tendrá el siguiente desarrollo 
 
 
Cálculo Numérico (Ing Informática, Ing Minas, Lic Sistemas) Facultad de Ingeniería - UNJu 
Mtr Ing Ariel Alejandro Vega 15 
y entonces ( ) ( ) 
 
También se puede visualizar gráficamente el mismo 
 
 
Pregunta 1: Si toma otro conjunto como subtabla ¿el resultado será el mismo? Justifique su 
respuesta. 
Pregunta 2: ¿Cuál es la ecuación del polinomio que se ha graficado? 
 
Ejemplo 2: 
 
Determine y grafique el polinomio de interpolación de Lagrange que utilice los puntos de esta 
tabla 
 0 
 
 
 
 
π 
 0 1 0 
 
Si los puntos de esta tabla corresponden a la función ( ) compare ambos gráficos y 
conteste las preguntas. 
Aplicando el polinomio de Lagrange a esta situación, entonces 
 ( ) ∑ ( ) ( )
 
 
 
 ( ) ∑ ( )∏
( )
( )
 
 
 
 
 
 
 
 ( ) ( )
( )
( )
 
( )
( )
 ( )
( )
( )
 
( )
( )
 ( )
( )
( )
 
( )
( )
 
 ( ) 
( 
 
 )
( 
 
 )
 
( )
( )
 
( )
(
 
 )
 
( )
(
 
 )
 
( )
( )
 
( 
 
 )
( 
 
 )
 
 
 ( ) 
 
 
 ( ) 
Esta función y la función real se muestran en la siguiente figura, donde la función real es la 
línea continua y la función interpolante está representada por la línea discontinua. 
 
Cálculo Numérico (Ing Informática, Ing Minas, Lic Sistemas) Facultad de Ingeniería - UNJu 
Mtr Ing Ariel Alejandro Vega 16 
 
 
Pregunta 1: ¿Es la función interpolante más simple que la función real? 
Pregunta 2: ¿La función interpolante es buena para aproximar la función real? 
Pregunta 3: ¿Puede mejorar la función interpolante? Justifique su respuesta. 
Pregunta 4: ¿La función intepolante será buena para aproximar un valor no contenido en el 
intervalo definido por la tabla de datos? 
 
Ejemplo 3: 
 
Se desea estudiar un problema de análisis de tendencia para el caso de la caída de un 
paracaidista. Suponga que posee un instrumento para medir la velocidad del paracaidista a 
medida que avanza el tiempo. Los datos obtenidos en una prueba en particular son 
Tiempo (seg) Velocidad media v 
(cm/seg) 
1 800 
3 2310 
5 3090 
7 3940 
13 4755 
 
Estime la velocidad del paracaidista en para completar la tabla y tener mediciones 
en rangos de tiempo uniformes. 
 
Como se debe ser consciente de que el comportamiento de los polinomios de interpolación 
puede resultar inesperado; es una buena estrategia construir polinomios de diferentes grados y 
comparar los resultados. En este caso se construirá el polinomio de Lagrange para los grados 1, 
2, 3 y 4. 
 
Por lo tanto para este problema lo importante es comparar las formas de los polinomios 
interpolantes de diferentes grados con el objetivo de elegir cual es el que mejor se “comporta” 
de la forma esperada. 
La siguiente imagen compara los cuatro polinomios interpoladores de Lagrange. Observe que 
contrariamente a lo que uno podría suponer para este conjunto de puntos el polinomio 
interpolador de Lagrange de grado 4 no es el mejor para predecir el comportamiento de la 
velocidad en el tiempo 10 ya que su valor parece ser mucho más grande que la tendencia global 
de los datos. 
Por el contrario los polinomios de menor grado son más adecuados para realizar el análisis de la 
tendencia de los puntos. Se puede concluir que para este tipo de problemas los polinomios de 
grado superior tienden a sobrepasar la tendencia de los datos. 
Por último se debe destacar que se están tratando datos inciertos, por lo tanto las técnicas de 
regresión son más adecuadas que el uso de polinomios de interpolación; siendo el objetivo del 
ejemplo brindado mostrar las amplias posibilidades de uso que tienen las técnicas de 
interpolación. 
 
Cálculo Numérico (Ing Informática, Ing Minas, Lic Sistemas) Facultad de Ingeniería - UNJu 
Mtr Ing Ariel Alejandro Vega 17 
 
 
a) Polinomio de grado 4 – b) Polinomio de grado 3 – c)Polinomio de grado 2 – d) Polinomio de grado 1 
 
 
Ventajas y desventajas del método de Lagrange 
 
Entre las ventajas se tiene que 
 El polinomio de Lagrange es una reformulación del polinomio de Newton que evita el 
cálculo de diferencias divididas. 
 Su implementación en un ordenador es muy sencilla 
Entre las desventajas se pueden indicar 
 La cantidad de cálculos necesarios para una interpolación es grande 
 La interpolación para otro valor de necesita la misma cantidad de cálculos 
adicionales, ya que no se pueden utilizar partes de la aplicación previa. 
 Cuando el número de datos tiene que aumentar o disminuir, no se pueden utilizar los 
resultados de cálculos previos 
 La evaluación del error no es fácil. 
 Para un grado alto es altamente susceptible a los errores de redondeo. Esto se puede 
reducir si se utiliza ordenadores que trabajen los algoritmos con aritmética de doble 
precisión; sin embargo habrá un punto donde el error de redondeo interferirá con la 
habilidad para interpolar. 
 
Referencias Interpolación de Lagrange 
1. Fernandez (2012). José Antonio Ezquerro Fernández. Iniciación a los métodos 
numéricos. Servicio de publicaciones de la Universidad de la Rioja. 
2. Paganini( (2010). José Humberto Paganini & Juan Carlos Rodriguez. Apuntes de 
cátedra. 
3. Mathews (200). Jhon H Mathews. Métodos Numéricos con MATLAB. Prentice Hall. 
4. Mora (2010). Walter Mora Flores. Introducción a los métodos numéricos. 
Implementaciones en Basic-Calc de Libre Office y wxMaxima. Revista Digital 
Matemática Educación e Internet. Escuela de Matemática, Instituto Tecnológico de 
Costa Rica.