Logo Passei Direto
Subir material
Iniciar sesión
Pruébalo gratis
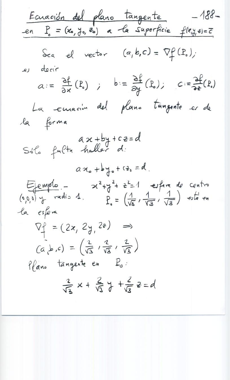
plano tangente a una superficie de nivel
Cálculo
IPN
Jose Francisco Mar Tapia
en
9/4/2025
0
0
Reportar
Reportar
Clave de respuestas
Ejercicios
Mapa mental
Resumen
Más opciones
Herramientas de estudio
Clave de respuestas
Ejercicios
Mapa mental
Resumen
Mostrar todo
Contenido elegido para ti
1 pag.
ecuacion del plano tangente
IPN
Preguntas de este disciplina
u v u V Ser x r não é 0, então, a superfície S é considerada lisa. Em uma superfície lisa, o plano tangente é aquele que contém os vetores tangente...
UNISA
Uma superfície regular possui um plano tangente em cada um de seus pontos. Dada uma função e um ponto em seu domínio, a equação do plano tangente...
FMU
Material
¡Estudia con miles de materiales!
Iniciar sesión
Contenido elegido para ti
1 pag.
ecuacion del plano tangente
IPN
Preguntas de este disciplina
u v u V Ser x r não é 0, então, a superfície S é considerada lisa. Em uma superfície lisa, o plano tangente é aquele que contém os vetores tangente...
UNISA
Uma superfície regular possui um plano tangente em cada um de seus pontos. Dada uma função e um ponto em seu domínio, a equação do plano tangente...
FMU
Más contenidos de este tema
200 ejercicios sobre Ecuaciones de Primer Grado con una incógnita resueltos paso por paso con todos los procedimientos. - Resumo
Forças e Momentos em Postes
7 4 2 Lab - Implement DHCPv4 -
Desviación estandar y varianza