Logo Passei Direto
Subir material
Iniciar sesión
Pruébalo gratis
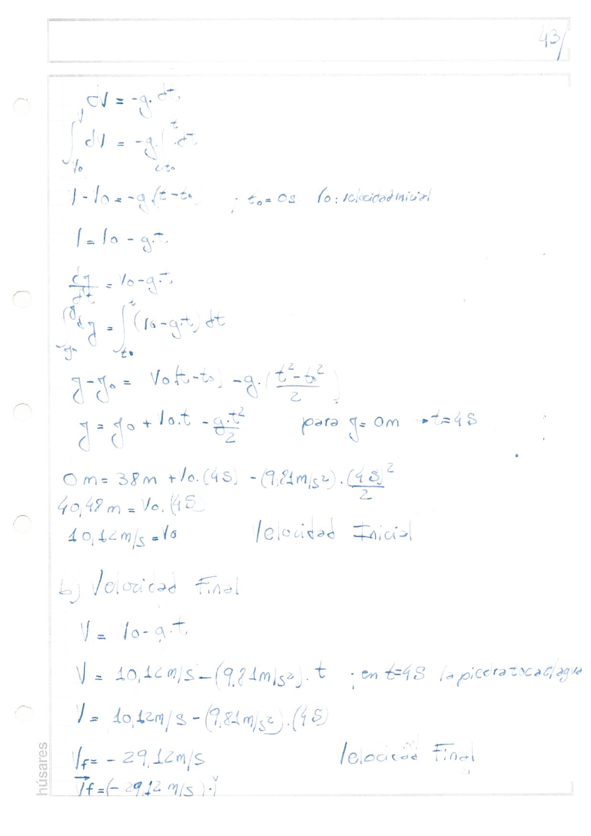
Ej 17 CP Corregido Alessio
Mecánica
Vicente Riva Palacio
Mat
en
9/4/2025
0
0
Reportar
Reportar
Clave de respuestas
Ejercicios
Mapa mental
Resumen
Más opciones
Herramientas de estudio
Clave de respuestas
Ejercicios
Mapa mental
Resumen
Mostrar todo
Contenido elegido para ti
14 pag.
Ejercicios de la Guía de Alessio 17-26
15 pag.
Ejercicios Alessio Parte 4 Rev 00
9 pag.
Ejercicios Alessio Parte 6 Rev 00
Material
¡Estudia con miles de materiales!
Iniciar sesión
Contenido elegido para ti
14 pag.
Ejercicios de la Guía de Alessio 17-26
15 pag.
Ejercicios Alessio Parte 4 Rev 00
9 pag.
Ejercicios Alessio Parte 6 Rev 00
Más contenidos de este tema
Retentor
Aceleração
Momento de força
MANUAL_PARA_PENSAR_COMO_UN_INGENIERO_AEROESPACIAL_Sergio_Hidalgo
Libro - Gestion y Planificacion del Mantenimiento Industrial - Integra Markets
confiabilidad
Repaso (1)
Mostrar más contenidos
chevronDownIcon