Logo Passei Direto

DISTRIBUCIONES DE PROBABILIDAD DISCRETA Y CONTINUA

Herramientas de estudio

Material
¡Estudia con miles de materiales!

Vista previa del material en texto

DISTRIBUCIONES DE PROBABILIDAD DISCRETA.
Introducción
  Una Variable Aleatoria numérica es un fenómeno de interés cuyas respuestas o resultados se expresan con números. Estas variables se clasifican en discretas y continuas. Las primeras surgen de un proceso de contar y las últimas de medir. A continuación, se estudiarán las características y propiedades de cada una de ellas.
Luego, se desarrollarán los conceptos y se investigarán las formas para calcular la probabilidad de un evento en condiciones más complejas. Posteriormente se estudiarán los diferentes tipos de distribuciones discretas existentes: la Distribución de Bernoulli, Binomial, Multinomial, Poisson e Hipergeométrica y otras distribuciones de probabilidad de variable discreta, así como sus características, tratamiento y aplicaciones.
Distribuciones de probabilidades
Variables Discretas, aplicación en situaciones reales
Se denomina distribución de variable discreta a aquella cuya función de probabilidad sólo toma valores positivos en un conjunto de valores de finito o infinito numerable. A dicha función se le llama función de masa de probabilidad.
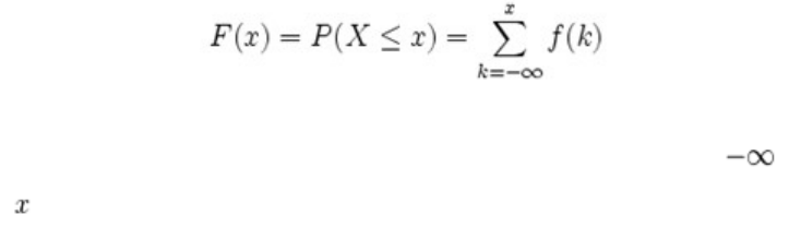
 En este caso la distribución de probabilidad es la suma de la función de masa, por lo que tenemos entonces que:
Y, tal como corresponde a la definición de distribución de probabilidad, esta expresión representa la suma de todas las probabilidades desde  hasta el valor      
Ejemplos de Variables Discretas
Es aquella que puede asumir un número contable de valores.
Ejemplos de variables cuantitativas discretas:
· El número de hijos de una familia.
· La cantidad de dedos que tienes en la mano.
· El número de faltas en un partido de fútbol.
· Número de personas que llegan a un consultorio en una hora.
· El número de árboles que hay en un parque.
· El número de canales de televisión que tienes en casa.
· Número de animales en una granja.
· Cantidad de empleados que trabajan en una tienda.
· Número de libros vendidos cada mes en Amazon.
· Número de clientes que visitan un supermercado por día.
Función de distribución (variables discretas).
Se denomina Variable Aleatoria, a una variable X que puede tomar un conjunto de valores {x0, x1, x2, .. xn-1}, con probabilidades {p0, p1, p2, ... pn-1} .Dado un experimento aleatorio cualquiera cuyos sucesos elementales posibles pueden identificarse fácilmente mediante un número real, se denomina Variable Aleatoria, X, al conjunto de estos números.
  Ejemplo 1.- Sea el experimento aleatorio de lanzar un dado al aire. Los posibles resultados del experimento (sucesos elementales) son los siguientes:
A= Que Salga 1
B= Que Salga 2
C= Que Salga 3
D= Que Salga 4
E= Que Salga 5
F= Que Salga 6
Resulta sencillo asociar a cada suceso elemental el número correspondiente a la cara del dado que haya salido. Por tanto, la variable aleatoria, X, será:
X= 1, 2, 3, 4, 5,6
    Por el contrario, si dado un experimento aleatorio cualquiera no resulta inmediata la asociación de un número para cada uno de los posibles sucesos elementales, se establece una correspondencia entre el conjunto de los posibles sucesos elementales y el conjunto de los números reales, de manera que a cada suceso elemental le corresponda un número real arbitrario y que a sucesos elementales distintos les correspondan números distintos.
Variables aleatorias discretas.
Una variable aleatoria es discreta cuando su campo de variación (dominio de definición) está constituido por un conjunto finito o infinito numerable de valores posibles. Cada suceso de W se corresponde con un valor.
Ejercicio 1:
Experimento: lanzar un dado diez veces se aleatoria de forma que la variable aleatoria X V(A)= nº de ases que se obtengan : X ={0,1,2,3,4,5,6,7,8,9,10} (v.a. discreta de orden finito)
Ejercicio 2:
Experimento: los carros que pasan por un tramo de carretera se aleatoriza de forma que la variable aleatoria: X = nº de coches que pasen: X= {0, 1, 2,3,...} (X= N) (v. a. discreta de orden infinito)
Si la variable aleatoria es discreta, cada valor de los pertenecientes al campo de variación se corresponderá con un suceso del álgebra de sucesos. (Lo que permitirá después asignar probabilidades a cada valor).
Una variable aleatoria discreta es el modelo teórico de una variable estadística discreta (con valores sin agrupar).
Una variable aleatoria discreta es aquella cuya función de distribución es escalonada.
Función de distribución en Variable Discreta
Puede observarse que:
· Presenta un perfil escalonado, produciéndose un salto en cada uno de los valores definidos de la variable aleatoria. Es continua por la derecha, pero no por la izquierda.
· La cuantía de cada salto es precisamente la probabilidad en ese punto, la función de cuantía.
· Es semejante al DIAGRAMA ACUMULATIVO de una distribución de frecuencias de valores sin agrupar.
· Entre cada dos puntos (de los definidos) no hay probabilidad (y por tanto no se acumula).
Unidad de competencia III.
Variable aleatoria continua.
Es aquella cuyo dominio de definición (campo de variación) es un intervalo (compacto) de la recta real, una unión de varios intervalos, o la totalidad de la recta real. (Por lo tanto los valores definidos de la variable aleatoria son un conjunto infinito no numerable.) El álgebra de sucesos del que surge debe contener un número infinito no numerable de sucesos, cada uno de ellos se corresponderá con alguno de los (infinitos) intervalos incluidos en el campo de definición.
Ejemplo:
Experimento: contemplar los carros que pasen por un tramo de carretera se aleatoriza de forma que la variable aleatoria X =tiempo que hay que esperar hasta que pase un carro X = [0, µ [, es decir X=R+
En el caso continuo no podremos hacer corresponder a los valores (puntuales) con sucesos de álgebra de sucesos, la correspondencia se establecerá entre sucesos del álgebra e intervalos pertenecientes al campo de variación de la variable. En consecuencia, no podremos asignar probabilidades a los valores de la variable, sino sólo a intervalos.
Una variable aleatoria continua es el modelo teórico de una variable estadística continua (agrupada por intervalos).
Una variable aleatoria continua es aquella cuya función de distribución es continua.
Función de distribución en una variable continua.
En una distribución de variable continua se induce probabilidad sobre todos los infinitos intervalos que integran el campo de definición de la variable. En consecuencia, ante cualquier incremento de la variable (por pequeño que sea) le corresponderá un incremento de la probabilidad de que se va acumulando, lo que hará que la función de probabilidad acumulada, la función de distribución tenga que ser continua en todos los puntos del campo de definición de la variable. Es esta la razón de que se llamen distribuciones continuas, ya que acumulan de forma continua su probabilidad.
Podemos observar cómo:
· La función de distribución es continua por ambos lados (absolutamente continua), acumulando la variable probabilidad de manera continuada desde que comienza su campo de variación hasta que termina (acumulando la masa total ,1).
· Tiene un perfil similar al del POLÍGONO ACUMULATIVO de una distribución de frecuencias de valores agrupados. Coincidiría con él si se tratara de intervalos infinitésimo.
Propiedades de la función de identidad.