Logo Passei Direto
Subir material
Iniciar sesión
Pruébalo gratis
Ejercicios de calculo multivariable_2
Cálculo
UV
Jonathan Bonifacio Carreon
en
9/4/2025
0
0
Reportar
Reportar
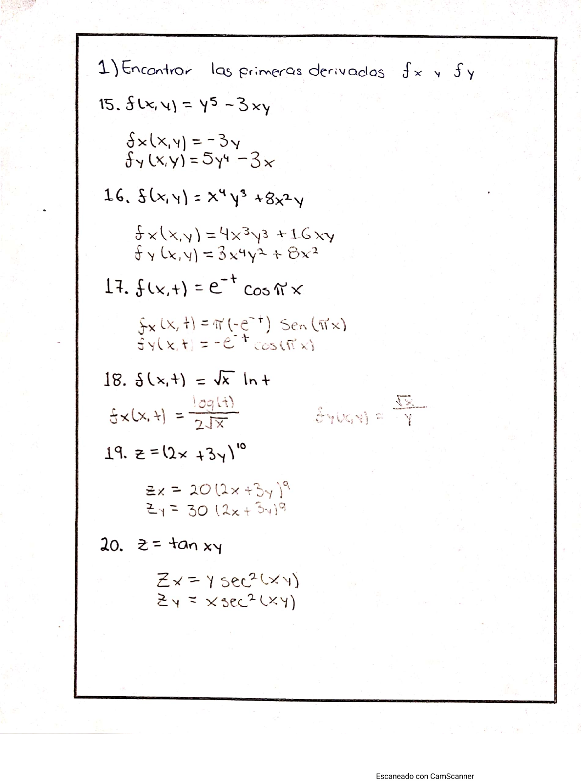
Clave de respuestas
Ejercicios
Mapa mental
Resumen
Más opciones
Herramientas de estudio
Clave de respuestas
Ejercicios
Mapa mental
Resumen
Mostrar todo
Contenido elegido para ti
4 pag.
Ejercicios de calculo multivariable_5
UV
2 pag.
calculo ejercicios (2)
EPN
Material
¡Estudia con miles de materiales!
Iniciar sesión
Contenido elegido para ti
4 pag.
Ejercicios de calculo multivariable_5
UV
2 pag.
calculo ejercicios (2)
EPN
Más contenidos de este tema
200 ejercicios sobre Ecuaciones de Primer Grado con una incógnita resueltos paso por paso con todos los procedimientos. - Resumo
Forças e Momentos em Postes
Octantes
Prob1RincAn