Logo Passei Direto
Buscar
Material
páginas com resultados encontrados.
páginas com resultados encontrados.
left-side-bubbles-backgroundright-side-bubbles-background

Crie sua conta grátis para liberar esse material. 🤩

Já tem uma conta?

Ao continuar, você aceita os Termos de Uso e Política de Privacidade

left-side-bubbles-backgroundright-side-bubbles-background

Crie sua conta grátis para liberar esse material. 🤩

Já tem uma conta?

Ao continuar, você aceita os Termos de Uso e Política de Privacidade

Prévia do material em texto

As imagens utilizadas são para fins educativos, sem intenção de infringir direitos autorais. @ana_dinizmed 
 Em humanos, o acetil-CoA formado no fígado 
durante a oxidação dos ácidos graxos pode 
entrar no ciclo do ácido cítrico ou sofrer 
conversão a corpos cetônicos: acetona, 
acetoacetato e D-b-hidroxibutirato, para 
exportação a outros tecidos. 
 O termo “corpos” é ocasionalmente aplicado a 
partículas insolúveis, mas esses compostos 
são solúveis no sangue e na urina 
 A acetona, produzida em menor quantidade do 
que os outros corpos cetônicos, é exalada. 
 O acetoacetato e o D-b-hidroxibutirato são 
transportados pelo sangue para outros tecidos 
que não o fígado (tecidos extra-hepáticos), 
onde são convertidos a acetil-CoA e oxidados 
no ciclo do ácido cítrico, fornecendo muito da 
energia necessária para tecidos como o 
músculo esquelético e cardíaco e o córtex 
renal. 
 O cérebro, que usa preferencialmente glicose 
como combustível, pode se adaptar ao uso de 
acetoacetato ou D-b-hidroxibutirato em 
condições de jejum prolongado, quando a 
glicose não está disponível. 
 
 
 
 
 
 
 
 
 
 
 
 
 
 
 
 A produção e exportação dos corpos cetônicos 
do fígado para tecidos extra-hepáticos permite 
a oxidação contínua de ácidos graxos no fígado 
quando acetil-CoA não está sendo oxidada no 
ciclo do ácido cítrico. 
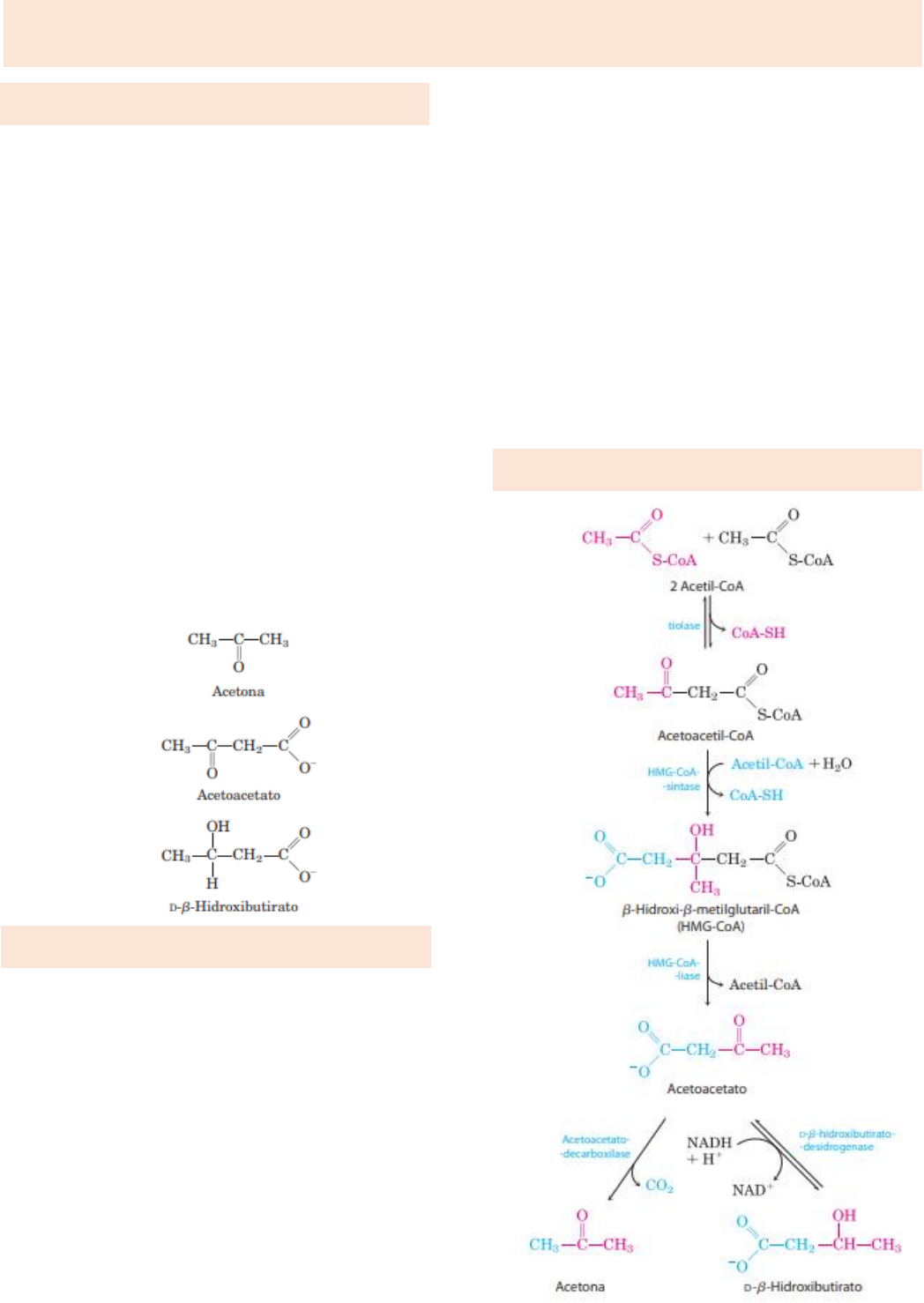
 A primeira etapa na formação de acetoacetato, 
que ocorre no fígado é a condensação 
enzimática de duas moléculas de acetil-CoA, 
catalisada pela tiolase (essa reação é o inverso 
da última etapa da b-oxidação). 
 O acetoacetil-CoA então se condensa com 
acetil-Coa formando b-hidroxi-b-metilglutaril-
CoA (HMG-CoA), clivado a acetoacetato livre e 
acetil-Coa. 
 O acetoacetato é reversivelmente reduzido 
pela D-b-hidroxibutirato-desidrogenase, uma 
enzima mitocondrial, a D-b- -hidroxibutirato. 
 Essa enzima é específica para o 
estereoisômero D (ela não atua sobre L-b-
hidroxiacil-CoAs e não deve ser confundida 
com a L-b-hidroxiacil-CoA-desidrogenase da 
via de b-oxidação). 
 Em pessoas saudáveis, a acetona é formada 
em quantidade muito pequena a partir de 
acetoacetato, que é facilmente descarboxilado 
espontaneamente ou pela ação da 
acetoacetato-descarboxilase. 
 Como pessoas com diabetes não tratado 
produzem grandes quantidades de 
acetoacetato, seu sangue contém quantidades 
significativas de acetona, que é tóxica. 
 A acetona é volátil e provoca um odor 
característico ao hálito, que algumas vezes é 
útil no diagnóstico da diabetes. 
Corpos Cetônicos 
Corpos Cetônicos 
Exportação de Corpos Cetônicos 
Formação de Corpos Cetônicos 
As imagens utilizadas são para fins educativos, sem intenção de infringir direitos autorais. @ana_dinizmed 
 Em tecidos extra-hepáticos, o D-b-
hidroxibutirato é oxidado a acetoacetato pela 
D-b-hidroxibutirato-desidrogenase 
 O acetoacetato é ativado ao seu éster de 
coenzima A pela transferência da CoA do 
succinil-CoA, intermediário do ciclo do ácido 
cítrico, em uma reação catalisada pela b-
cetoacil-CoA-transferase, também chamada 
tioforase. 
 O acetoacetil-CoA é então clivado pela tiolase 
gerando dois acetil-CoAs, que entram no ciclo 
do ácido cítrico. 
 Assim, os corpos cetônicos são usados como 
combustível em todos os tecidos, exceto o 
fígado, que carece de tioforase. 
 O fígado é um produtor de corpos cetônicos 
para os outros tecidos, mas não um 
consumidor. 
 A produção e exportação dos corpos cetônicos 
pelo fígado permite a oxidação contínua de 
ácidos graxos com mínima oxidação de acetil-
CoA. 
 Quando os intermediários do ciclo do ácido 
cítrico são desviados para a síntese de glicose 
pela gliconeogênese, por exemplo, a oxidação 
dos intermediários do ciclo desacelera – bem 
como a oxidação de acetil-CoA. 
 Além disso, o fígado contém apenas uma 
quantidade limitada de coenzima A, e quando 
a maior parte está comprometida com acetil-
CoA, a b-oxidação desacelera esperando por 
coenzima livre. 
 A produção e a exportação de corpos cetônicos 
liberam a coenzima A, permitindo a contínua 
oxidação dos ácidos graxos. 
 Jejum e diabetes melito não tratado leva à 
superprodução de corpos cetônicos, com 
vários problemas médicos associados. 
 Durante o jejum, a gliconeogênese consome os 
intermediários do ciclo do ácido cítrico, 
desviando acetil-CoA para a produção de 
corpos cetônicos. 
 No diabetes não tratado, quando o nível de 
insulina é insuficiente, os tecidos extra-
hepáticos não podem captar a glicose do 
sangue de maneira eficiente, para combustível 
ou para conservação como gordura. 
 Nessas condições, os níveis de malonil-CoA (o 
material de início para a síntese de ácidos 
graxos) caem, a inibição da carnitina-
aciltransferase I é aliviada, e os ácidos graxos 
entram na mitocôndria para ser degradado a 
acetil-CoA (que não pode passar pelo ciclo do 
ácido cítrico, já que os intermediários do ciclo 
foram drenados para uso como substrato na 
gliconeogênese). 
 O acúmulo resultante de acetil-CoA acelera a 
formação de corpos cetônicos além da 
capacidade de oxidação dos tecidos extra-
hepáticos. 
 O aumento dos níveis sanguíneos de 
acetoacetato e D-b-hidroxibutirato diminui o pH 
do sangue, causando a condição chamada 
cetose. 
 Indivíduos em dietas hipocalóricas, utilizando 
as gorduras armazenadas no tecido adiposo 
como sua principal fonte de energia, também 
têm níveis elevados de corpos cetônicos no 
sangue e na urina. 
 Esses níveis devem ser monitorados para 
evitar os riscos da acidose e da cetose 
(cetoacidose) como acidose. 
 A acidose extrema pode levar ao coma e em 
alguns casos à morte. 
 Os corpos cetônicos no sangue e na urina de 
indivíduos com diabetes não tratado pode 
alcançar níveis extraordinários. 
Produção excessiva de Corpos Cetônicos

Mais conteúdos dessa disciplina