Logo Passei Direto
Buscar

GRA1653 - Prova N2 A5

User badge image
Molgado

em

Ferramentas de estudo

Questões resolvidas

Material
páginas com resultados encontrados.
páginas com resultados encontrados.
left-side-bubbles-backgroundright-side-bubbles-background

Crie sua conta grátis para liberar esse material. 🤩

Já tem uma conta?

Ao continuar, você aceita os Termos de Uso e Política de Privacidade

left-side-bubbles-backgroundright-side-bubbles-background

Crie sua conta grátis para liberar esse material. 🤩

Já tem uma conta?

Ao continuar, você aceita os Termos de Uso e Política de Privacidade

left-side-bubbles-backgroundright-side-bubbles-background

Crie sua conta grátis para liberar esse material. 🤩

Já tem uma conta?

Ao continuar, você aceita os Termos de Uso e Política de Privacidade

left-side-bubbles-backgroundright-side-bubbles-background

Crie sua conta grátis para liberar esse material. 🤩

Já tem uma conta?

Ao continuar, você aceita os Termos de Uso e Política de Privacidade

left-side-bubbles-backgroundright-side-bubbles-background

Crie sua conta grátis para liberar esse material. 🤩

Já tem uma conta?

Ao continuar, você aceita os Termos de Uso e Política de Privacidade

Questões resolvidas

Prévia do material em texto

Rodrigo Molgado Engenharia Elétrica GRA1653 
Prova N2 
1) A sobretensão e a subtensão são fenômenos elétricos que ocorrem quando há 
variações indesejadas no nível de tensão em um sistema elétrico. A sobretensão 
ocorre quando a tensão excede o valor nominal. Por outro lado, a subtensão ocorre 
quando a tensão fica abaixo do valor nominal. 
 
Com base no conceito apresentado, avalie as afirmações a seguir: 
 
I. Os transitórios com uma duração superior a um minuto podem ser 
considerados Sobretensão ou Subtensão. 
II. A sobretensão pode ser causada devido à uma variação brusca em grandes 
cargas conectadas no sistema elétrico de potência. 
III. A sobretensão pode ocorrer quando há um número excessivos de 
carregamento de circuitos que interagem com a rede elétrica. 
IV. O fenômeno de subtensão pode ocorrer quando existe um excesso de reativo 
injetado no sistema devido aos bancos de capacitores das indústrias fora do 
horário de pico. 
 
É correto o que se afirma em: 
 
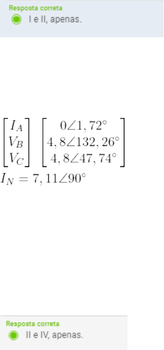
2) Foi identificado uma falha em um gerador trifásico operando a vazio e é necessário 
saber qual o tipo de falta ocorre para ser solucionada. Considerando as medidas de 
corrente obtidas, analise as afirmativas em seguida da apresentação das medidas. 
 
 = 
 
 
I. O gerador sem carga possui uma falta Fase-Terra. 
II. O gerador sem carga possui uma falta Fase-Fase-Terra. 
III. O gerador sem carga possui uma falta Fase-Fase. 
IV. A sequência zero está defasado de 180 graus da sequência positiva, mas com 
módulos diferentes. 
 
Está correto o que se afirma em: 
 
3) A admitância de um elemento é a razão entre a corrente fasorial e a tensão fasorial. 
Uma matriz de admitâncias corresponde à uma representação de um diagrama de um 
circuito. Sabemos que a admitância é o inverso da impedância. Com isso, observe a 
matriz admitância apresentada. 
Y= 
Diante disso, assinale a alternativa que apresenta a matriz de impedâncias, 
correspondente à matriz de admitância apresentada. 
 
4) A admitância de um elemento é a razão entre a corrente fasorial e a tensão fasorial. 
Uma matriz de admitâncias corresponde à uma representação de um diagrama de um 
circuito. Sabemos que a admitância é o inverso da impedância. Com isso, observe a 
matriz admitância apresentada. 
Y = 
Na matriz admitância apresentada, o elemento 21 e 12 são nulos, possuindo o valor 
zero. Isso ocorre devido ao fato de: 
 
 
5) Na análise de sistemas elétricos de potência é necessário utilizar as ferramentas 
matemáticas na análise dos sistemas, compreendendo assim o seu comportamento. 
Dada a matriz abaixo composta por três linhas e uma coluna. 
A= 
Assinale a alternativa que apresenta a mesma matriz em coordenadas polar. 
 
 
6) A proteção de um sistema de distribuição de energia elétrica é fundamental para 
garantir o fornecimento confiável de eletricidade e a segurança de equipamentos, 
pessoas e propriedades. Existem várias medidas de proteção empregadas nesses 
sistemas para prevenir ou minimizar problemas, como sobrecargas, curtos-circuitos e 
falhas de isolamento. 
 
Com base no texto apresentado, avalie as afirmações a seguir. 
 
I. Nos ramais onde se exigem cargas especiais, como indústrias e hospitais, 
deve-se utilizar religadores e/ou seccionadores. 
II. Sempre que possível, devem ser instaladas mais de quatro chaves fusíveis em 
série (incluindo a de entrada), pois isso não afeta a coordenação com outros 
dispositivos. 
III. Caso a proteção de retaguarda não seja capaz de atuar em razão de uma falta, 
é necessário instalar uma chave fusível, um religador ou um seccionador. 
IV. Não se deve utilizar qualquer equipamento de proteção ao longo do 
alimentador tronco que permita manobra com outro alimentador. 
 
É correto o que se afirma em: 
 
 
7) Um transiente oscilatório é uma tensão ou corrente cujo valor instantâneo muda de 
polaridade de modo muito rápido, afetando a qualidade de energia de um sistema 
elétrico. Esse tipo de transiente pode ocasionar diversos efeitos na rede elétrica, 
prejudicando equipamentos e elementos de proteção. Observe a figura abaixo com um 
transitório oscilatório. 
 
Figura 4: Típico transitório oscilatório de corrente (polaridades negativa e positiva) 
causado pelo chaveamento de um capacitor de potência. 
Fonte: Adaptado de DUGAN et al. (2002, p. 17). 
#PraCegoVer: a figura apresenta um típico transitório oscilatório de corrente 
(polaridades negativa e positiva) provocado pelo chaveamento de um capacitor de 
potência. A figura é representada por um plano cartesiano ortogonal, constituído por 
dois eixos xis (x) e ípsilon (y) perpendiculares entre si que se cruzam na origem. O 
eixo xis refere-se ao tempo de duração do transitório oscilatório de corrente, que é da 
ordem de µs. Ele inicia em oito microssegundos (8 µs), atinge dez microssegundos (10 
µs), depois chega ao tempo de doze microssegundos (12 µs) e continua até quatorze 
microssegundos (14 µs). Observe que, ao passar do tempo, a amplitude das 
oscilações reduzem (amortecimento do transitório). O eixo ípsilon refere-se à 
intensidade do transitório de corrente, que é da ordem de ampères (A). Ele inicia no 
zero (0) e vai até sete mil e quinhentos ampères positivos (7500 A) e até sete mil e 
quinhentos ampères negativos (-7500 A). As oscilações resultantes do processo de 
chaveamento são representadas por uma linha sólida de cor preta. Ela tem o seu 
início na origem do plano cartesiano com uma subida abrupta e, logo em seguida, 
inicia um período oscilatório que vai diminuindo após o chaveamento. 
 
O transitório oscilatório mostrado na figura acima pode ser causado por: 
 
 
8) O correto projeto e dimensionamento dos fusíveis em um sistema de distribuição 
envolvem a seleção adequada dos fusíveis para proteger os diferentes componentes 
do sistema, como cabos, transformadores, disjuntores, entre outros. Para isso, devem 
ser consideradas algumas etapas básicas. 
 
Com base no excerto apresentado, avalie as afirmações a seguir. 
 
I. Deve ser previsto no dimensionamento do elo fusível as cargas que 
eventualmente podem ser transferidas durante a realização de manutenções. 
II. A corrente nominal do elo fusível deve ser 1,5 vezes igual ou maior do que a 
corrente máxima prevista no ponto de instalação da chave fusível. 
III. Deve-se determinar todas as correntes de curto-circuito e a corrente de carga 
máxima em todos os trechos e pontos de instalação das chaves fusíveis. 
IV. A corrente nominal do elo fusível deve ser duas vezes maior do que a corrente 
de curto-circuito de fase-terra, considerando uma resistência de aterramento de 
40 ohms. 
 
É correto o que se afirma em: 
 
 
9) O relé de proteção tem a função de proteger uma zona de um SEP, detectando 
falhas que podem ocorrer nessa área. Todos os sistemas devem apresentar requisitos 
básicos, fundamentais para garantir um desempenho de atuação satisfatório. Esses 
requisitos auxiliam na escolha do sistema mais adequado para certa atividade. 
 
Com base no excerto apresentado, avalie as afirmações a seguir. 
 
I. O elemento de proteção deve ser capaz de atuar dentro de uma certa zona de 
atuação, em que a ocorrência do evento deve ser identificada, e o elemento de 
proteção deve entrar em operação, não podendo estar fora da zona de 
proteção. 
II. Em um sistema de proteção, a velocidade de atuação não é relevante, 
necessitando apenas que o elemento de proteção atue após identificar que a 
falha durou mais de cem ciclos da rede elétrica, devido aos ruídos da rede 
elétrica. 
III. O dispositivo deve ter uma boa sensibilidade a fim de reconhecer alguma 
corrente fora do normal e atuar de maneira eficiente, dentro das configurações. 
Um bom nível de sensibilidade é entre 1,5 e 2. 
IV. O dispositivo de proteção deve ter a capacidade de operar automaticamente, 
em caso de ocorrer uma falta, voltando sempre ao seu estado original sem 
contar com a intervenção humana. 
 
É correto o que se afirma em: 
 
 
10) Por vezes, em um gerador trifásicoa vazio pode ocorrer uma falta nos terminais 
desse gerador fazendo com que apareça a circulação de correntes nas linhas e no 
neutro. Dependendo de como ocorre essa falha, o comportamento das tensões e 
correntes podem variar. 
 
Com base no apresentado, analise as asserções a seguir e a relação proposta entre 
elas. 
 
I. Foi verificado que em um gerador trifásico a vazio, a corrente de uma fase tem o 
sentido invertido da corrente de outra fase, da mesma forma que a corrente de 
sequência positiva está invertida em relação à corrente de sequência negativa, além 
disso, a corrente de sequência zero é nula. 
PORQUE: 
II. O gerador trifásico à vazio em questão possui uma falta de Fase-Fase. 
 
A respeito dessas asserções, assinale a opção correta:

Mais conteúdos dessa disciplina