Logo Passei Direto
Buscar
Material
left-side-bubbles-backgroundright-side-bubbles-background

Crie sua conta grátis para liberar esse material. 🤩

Já tem uma conta?

Ao continuar, você aceita os Termos de Uso e Política de Privacidade

Prévia do material em texto

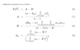
Additional are as B (6) (n A = (7) n) B = (8) (n b2 (9)

Mais conteúdos dessa disciplina