Logo Passei Direto
Buscar
Material
páginas com resultados encontrados.
páginas com resultados encontrados.

Prévia do material em texto

CHAPTER 25 1063 
 
 
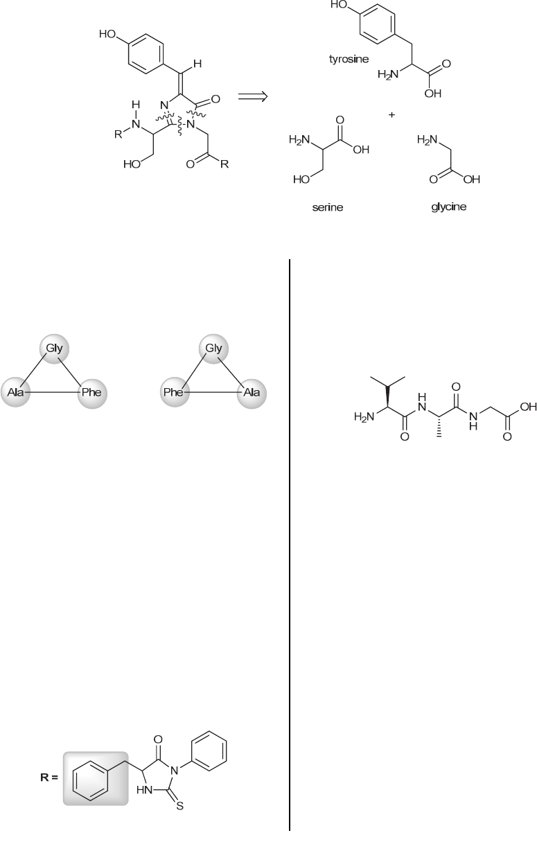
25.69. The following retrosynthetic analysis reveals the three amino acids (tyrosine, serine, and glycine) that are 
necessary for biosynthesis of the fluorophore: 
 
 
 
 
 
25.70. If a tripeptide does not react with phenyl 
isothiocyanate, then it must not have a free N terminus. 
It must be a cyclic tripeptide. Below are the two possible 
cyclic tripeptides: 
 
 
 
 
25.71. 
(a) Trypsin catalyzes the hydrolysis of the peptide bond 
at the carboxyl side of arginine, giving the following two 
fragments: 
 
Arg + Pro-Pro-Gly-Phe-Ser-Pro-Phe-Arg 
 
 
(b) Chymotrypsin catalyzes the hydrolysis of the peptide 
bonds at the carboxyl side of phenylalanine, giving the 
following three fragments: 
 
Arg-Pro-Pro-Gly-Phe + Ser-Pro-Phe + Arg 
 
 
25.72. The R group (highlighted) in the PTH derivative 
indicates the identity of the N-terminal residue. Since 
this R group is a benzylic group (CH2Ph), the N-
terminal residue must be phenylalanine. 
 
 
 
25.73. The first Edman degradation indicates that the 
N-terminal residue is valine (the R group is isopropyl). 
The second Edman degradation indicates that the N-
terminal residue of the dipeptide is alanine. And finally, 
the remaining amino acid (glycine) must be at the C-
terminus of the tripeptide. In summary, the tripeptide is 
Val-Ala-Gly, drawn here: 
 
 
 
 
25.74. Only one of the trypsin fragments has a C 
terminus that is not arginine or lysine. This fragment 
(which ends with threonine), must be the last fragment in 
the peptide sequence. The remaining three trypsin 
fragments can be placed in the proper order by analyzing 
the chymotrypsin fragments. The correct peptide 
sequence is: 
 
His-Ser-Gln-Gly-Thr-Phe-Thr-Ser-Asp-Tyr-Ser-Lys-
Tyr-Leu-Asp-Ser-Arg-Arg-Ala-Gln-Asp-Phe-Val-Gln-
Trp-Leu-Met-Asn-Thr 
 
There cannot be any disulfide bridges in this peptide, 
because it has no cysteine residues, and only cysteine 
residues form disulfide bridges. 
 
 
25.75. Prior to acetylation, the nitrogen atom of the 
amino group is sufficiently nucleophilic to attack phenyl 
isothiocyanate. Acetylation converts the amino group 
into an amide group, and the lone pair of the nitrogen 
atom is delocalized via resonance, rendering it much less 
nucleophilic. 
 
 
www.MyEbookNiche.eCrater.com

Mais conteúdos dessa disciplina