Logo Passei Direto
Buscar

Chegg Solutions for Microelectronic Circuits (Adel S Sedra, Kenneth C Smith) (Z-Library)_parte_104

Ferramentas de estudo

Material
páginas com resultados encontrados.
páginas com resultados encontrados.

Prévia do material em texto

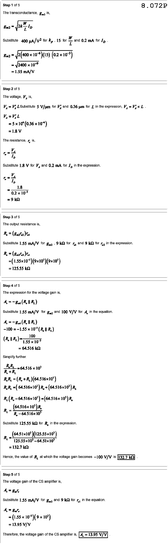
Step of 5 8.072P The transconductance, is, 8m2 = Substitute 400 for kp, 15 for and 0.2 mA for = =1.55 mA/V mA/V Step of 5 The voltage, is, = Substitute 5 V/µm for and 0.36 µm for L in the expression, = L = = 1.8 V The resistance, ro is, Substitute 1.8 V for and 0.2 mA for in the expression. 1.8 = kΩ Step of 5 The output resistance is, = Substitute 1.55 mA/V for 9 kΩ for and 9 kΩ for in the expression. = 125.55 kΩ Step of 5 The expression for the voltage gain is, Substitute 1.55 mA/V for and 100 V/V for A in the equation. Simplify further. = Substitute 125.55 kΩ for in the expression. = Hence, the value of at which the voltage gain becomes - 100 V/V is Step of 5 The voltage gain of the CS amplifier is, Substitute 1.55 mA/V for and 9 kΩ for in the equation. = = 13.95 V/V Therefore, the voltage gain of the CS amplifier is, V/V

Mais conteúdos dessa disciplina