Logo Passei Direto
Buscar

Chegg Solutions for Microelectronic Circuits (Adel S Sedra, Kenneth C Smith) (Z-Library)_parte_417

Ferramentas de estudo

Material
páginas com resultados encontrados.
páginas com resultados encontrados.
left-side-bubbles-backgroundright-side-bubbles-background

Crie sua conta grátis para liberar esse material. 🤩

Já tem uma conta?

Ao continuar, você aceita os Termos de Uso e Política de Privacidade

Prévia do material em texto

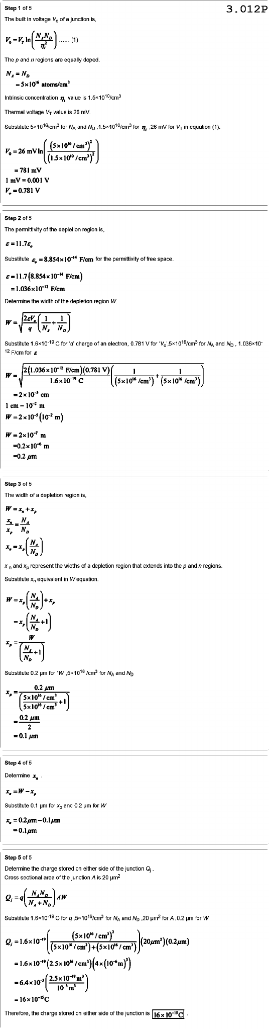
Step of 5 3.012P The built in voltage of a junction is, (1) The p and n regions are equally doped. = Intrinsic concentration n, value is Thermal voltage VT value is 26 mV. Substitute for NA and ND for n, 26 mV for VT in equation (1). 1 mV V Step of 5 The permittivity of the depletion region is, Substitute F/cm for the permittivity of free space. F/cm Determine the width of the depletion region W. W q Substitute C for 'q' charge of an electron, 0.781 V for NA and 1.036x10 12 F/cm for E W cm m =0.2 µm Step of 5 The width of a depletion region is, N and Xp represent the widths of a depletion region that extends into the p and n regions. Substitute Xn equivalent in W equation. W N D N W N ND Substitute 0.2 for /cm3 for NA and = 2 Step of 5 Determine Substitute 0.1 for Xp and 0.2 for W Step of 5 Determine the charge stored on either side of the junction Cross sectional area of the junction A is 20 Substitute C for for NA and ND 20 for A 0.2 for W = = Therefore, the charge stored on either side of the junction is

Mais conteúdos dessa disciplina