Logo Passei Direto
Buscar

Chegg Solutions for Microelectronic Circuits (Adel S Sedra, Kenneth C

Ferramentas de estudo

Material
páginas com resultados encontrados.
páginas com resultados encontrados.

Prévia do material em texto

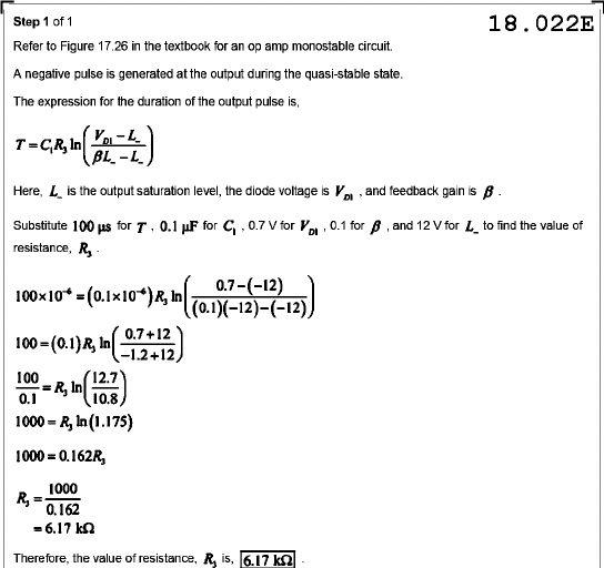
Step 1 of 1 18.022E Refer to Figure 17.26 in the textbook for an op amp monostable circuit. A negative pulse is generated at the output during the quasi-stable state. The expression for the duration of the output pulse is, T Here, L_ is the output saturation level, the diode voltage is , and feedback gain is Substitute 100 us for T 0.1 µF for , 0.7 V for 1 0.1 for 1 and 12 V for L_ to find the value of resistance, 100 Therefore, the value of resistance, is, 6.17 kΩ

Mais conteúdos dessa disciplina