Logo Passei Direto
Buscar
Material
páginas com resultados encontrados.
páginas com resultados encontrados.

Prévia do material em texto

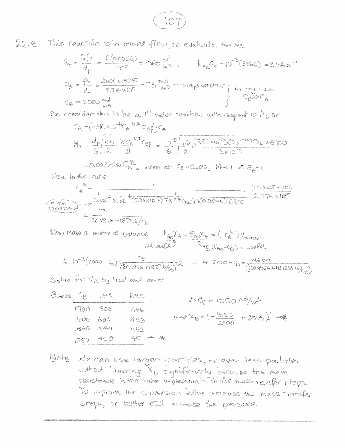
107 22.3 This reaction is in mixed flow, so evaluate terms = 6fs dp 6(0.0056) 10-5 = 3360 m² ac = (3360) = 3.36 CA = PA MA = 200/101325 2.776x105 = 73 mol m3 stays constant in any case CA CB = 2000 m3 So consider this to be a 1st order reaction with respect to or CA MT = dp 6 2 = 2x109 = even at CB = EA=1 Now to the rate 101325x200 0.05 + 3.36 + 2.776 105 main 73 + Now make a material balance = FBOXB Vreactor not useful useful. = 73 or 2000 14600 = Solve for CB by and error Guess CB RHS CB = 1550 1700 300 466 1400 600 433 and = 1550 2000 = 22.5% 1560 440 452 1550 450 451 OK Note We can use larger particles, or even less particles without lowering significantly because the main resistance in the rate expression is in the mass transfer steps. To improve the conversion either increase the mass transfer steps, or better still increase the pressure.

Mais conteúdos dessa disciplina