Logo Passei Direto
Buscar
Material

Prévia do material em texto

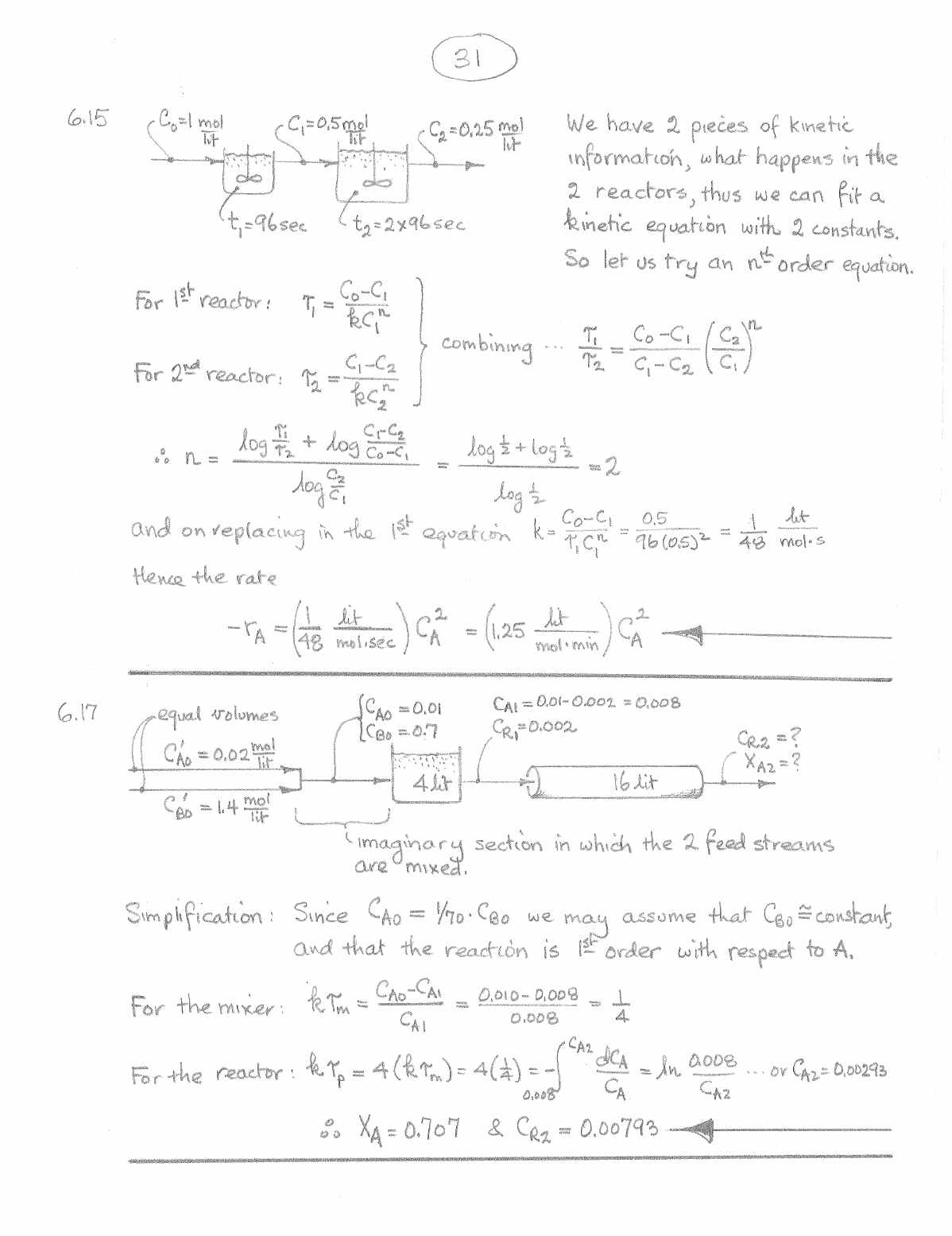
31 6.15 mol lit mol We have 2 pieces of kinetic information, what happens in the 2 reactors, thus we can fit a t2=2x96sec kinetic equation with 2 constants. So let us try an nth order equation. For 1st = combining T2 Co C2 For 2nd reactor: T2 = n = log T2 + log Co-C, = log 1/2 + =2 = log and on replacing in the 1st equation k k= = = 96 0.5 = 48 mol.s let Hence the rate molisec lit ) = (1.25 1.25 2 A 6.17 equal volumes CAO = 0.01 CAI = 0.002 = 0.7 = 0.02 mol lit = ? = 4lit 16 lit = 1.4 mol lit section in which the 2 feed streams are mixed. Since = we may assume that constant, and that the reaction is 1st order with respect to A. For the k Tm = = 0.008 = 4 For the k Tp = 4 = 4 = CA2 dCA = 0.008 or = CA CA2 = 0.707 & CR2 = 0.00793

Mais conteúdos dessa disciplina