Logo Passei Direto
Buscar
Material
páginas com resultados encontrados.
páginas com resultados encontrados.

Prévia do material em texto

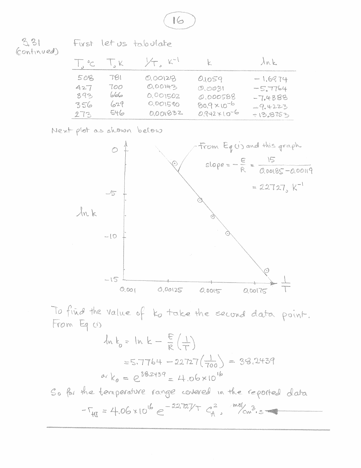
16 3.31 First letus tabulate (continued) T,K k Ink 508 181 0.1059 - 1.6974 427 700 0.00143 0.0031 -5.7764 393 666 0.001502 -7.4388 356 629 0.001590 -9.4223 273 546 0.001832 Next plot as shown below From this graph slope = E = 15 R = 22727, Ink -10 -15 0.001 0,00125 0.0015 0,00175 T To find the value of ko take the second data point. From Eq (i) = E R (+) = =5.7764 22727 = 38,2439 = = So for the temperature range covered in the reported data = e - 22727/T 2

Mais conteúdos dessa disciplina